
0 引言
1 弯曲锚固段剪应力推导
1.1 Mindlin理论
图2 水平集中力作用下明德林理论解示意图Fig.2 Schematic diagram of Mindlin’s theoretical solution under horizontal single force |
1.2 锚索锚固体所受应力推导
2 算例
图5 注浆体受到的压应力分布曲线Fig.5 Curves of compressive stress distribution for the grouting body |
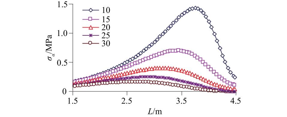
图6 锚固段与岩层间的剪应力分布曲线Fig.6 Curves of shear stress distribution between anchoring section and rock |
图7 不同锚索倾角锚固段应力峰值分布曲线Fig.7 Peak stresses of anchoring section with different anchorage angles |
表1 不同锚索倾角锚固段应力峰值Table 1 Peak stresses of anchoring section with different anchorage angles |
| 倾角/ (°) | 压应力峰 值/MPa | 剪应力峰 值/MPa | 倾角/ (°) | 压应力峰 值/MPa | 剪应力峰 值/MPa |
|---|---|---|---|---|---|
| 10 | 1.431 07 | 1.344 09 | 25 | 0.252 79 | 0.460 64 |
| 15 | 0.696 87 | 0.752 60 | 30 | 0.161 14 | 0.415 65 |
| 20 | 0.404 86 | 0.550 10 |
