Impact of Emergent Water Supply of the Three Gorges Reservoir on Saltwater Intrusion in the Changjiang River Estuary in 2022

  • QIU Wei , 1, 2 ,
  • LUAN Hua-long 1, 2 ,
  • QU Geng 1, 2 ,
  • LEI Wen-tao 1, 2 ,
  • LIN Mu-song 1, 2 ,
  • ZHU Jian-rong , 3
Expand
  • 1 River Research Department, Changjiang River Scientific Research Institute, Wuhan 430010, China
  • 2 Key Laboratory of Ministry of Water Resources on River and Lake Regulation and Flood Control in the Middle and Lower Reaches of the Changjiang River, Changjiang River Scientific Research Institute, Wuhan 430010,China
  • 3 State Key Laboratory of Estuarine and Coastal Research, East China Normal University, Shanghai 200241, China

Received date: 2024-06-12

  Revised date: 2024-07-22

  Online published: 2024-10-25

Abstract

During the flood season of 2022, the Changjiang River Basin experienced an unprecedented basin-wide drought. From September to October, the runoff at Datong Station fluctuated around 11,000 m3/s. Since September, the Changjiang River Estuary has faced severe saltwater intrusion due to typhoons, jeopardizing the water supply security of Shanghai. Based on analysis of measured runoff, wind speed, and salinity data, we conclude that low runoff combined with typhoons triggered the saltwater intrusion. We employed a three-dimensional estuary and coastal numerical model to quantitatively assess the impact of emergent water supply from cascading reservoirs. The emergent water supply mitigated saltwater intrusion in the Changjiang River Estuary, reducing the upward distance of saline water and shifting the 0.45 psu isohaline towards downstream by 17 km in the South Branch-North Channel section. This action reduced the salinity of reservoir water intake and extended the water intake window for the Qingcaosha Reservoir by approximately 6 hours. However, two cold fronts in October weakened the effectiveness of the water supply to some extent. To enhance the reliability of the water supply, it is crucial to strengthen comprehensive monitoring of hydrology, tides, and meteorology in the estuarine area, thereby ensuring the safety of freshwater utilization in Shanghai.

Cite this article

QIU Wei , LUAN Hua-long , QU Geng , LEI Wen-tao , LIN Mu-song , ZHU Jian-rong . Impact of Emergent Water Supply of the Three Gorges Reservoir on Saltwater Intrusion in the Changjiang River Estuary in 2022[J]. Journal of Changjiang River Scientific Research Institute, 2024 , 41(10) : 30 -39 . DOI: 10.11988/ckyyb.20240616

0 引言

河口是径流和潮流交汇的地区,受径流和潮汐等因子的共同作用,上游河道出现盐度升高的现象被称为盐水入侵(又称咸潮入侵、海水入侵)。盐水入侵通过改变水体的理化性质影响淡水资源利用、泥沙输运和动植物生长等。河口地区人口稠密、经济发达,淡水资源对坐落于河口三角洲的城市群至关重要,却常遭受盐水入侵的威胁。图1为长江河口形势。随着陈行水库、青草沙水库和东风西沙水库的先后建成,长江成为上海市的主要水源地。受盐水入侵的影响,当盐度超过0.45 psu(饮用水盐度标准),河口水库便不宜取水。河口盐水入侵受多种动力因子的影响,长江河口盐水入侵受潮汐和径流量控制[1-3],还受地形、环流、风应力等影响[4-8]
图1 长江河口形势

Fig.1 Sketch of the Changjiang River estuary

盐水入侵常常发生在河流入海流量较低的枯季,近几十年来极端气候频发,河口三角洲出现异于普通年份的严重盐水入侵事件[9]。2006年为特枯水文年,受此影响,陈行水库9月份起就受到盐水入侵的威胁,较往年提早了3个月[10]。2022年入夏后长江流域发生了历史罕见的流域性枯水,7月1日开始,受到复合高温干旱事件的影响,长江三峡水库以下主要测站水位开始下降(图2)。7月12日前后,宜昌、沙市水位比往年分别下降了4.69、4.40 m,处于局部低值,8月1日前后经过短暂抬升,随后又继续下降。城陵矶、汉口、湖口和大通站的水位自7月1日开始持续走低,9月份开始,叠加台风“轩岚诺”“梅花”“南玛都”在口内产生的增水影响,长江口地区在9月份遭遇了罕见的严重盐水入侵事件,南支水库取水困难,青草沙水库连续43 d无法取到淡水,城市供水安全受到严重威胁。为保障长江口地区淡水资源安全,长江水利委员会紧急启动以三峡水库为核心的梯级水库群压咸补淡应急调度计划。从10月2日开始,三峡水库增加下泄水量,沿江各站的水位依次出现了抬升,至11日共向下游补水40.63亿m3,为长江口水库水源地创造了取水窗口,应急调度效益显著。本文结合实测流量、风速和盐度等资料分析此次洪季异常盐水入侵事件成因,并结合河口海岸三维数值模型ECOM-si评估此次调度补水的效果,为应对气候变化下河口异常盐水入侵事件提供参考。
图2 2022年7—10月长江中下游主要测站水位变化过程线

Fig.2 Temporal variations in water level at measuring stations in the middle and lower reaches of Changjiang River from July to October, 2022

1 研究方法

1.1 观测数据

流域干旱导致长江入海流量持续走低,大通水文站位于长江河口潮区界,作为长江入海前的最后一个流量控制站,常以其径流量作为长江入海径流量的参考。大通水文站的实测日均流量从2022年7月开始下降,8月底下降至15 000 m3/s左右,9—10月在11 000 m3/s上下浮动。对比大通水文站历史流量资料,2022年9月平均流量为11 861 m3/s,远低于1950—2022年每年9月的平均流量38 873 m3/s,低于2006年9月历史最低平均流量19 006 m3/s;2022年10月平均流量为10 910 m3/s,远低于1950—2022年每年10月的平均流量31 641 m3/s,低于2006年10月历史最低平均流量14 915 m3/s(图3(a))。
图3 2022年9—10月实测流量、风速、风矢和取水口盐度随时间的变化

Fig.3 Temporal variations in river discharge, wind speed, wind vector and intake salinity from September to October, 2022

以往的研究表明,当大通站流量低于20 000 m3/s时,就可能出现明显的北支盐水倒灌南支的现象[11],而自2022年9月开始大通站的流量持续低于15 000 m3/s,持续的低流量是造成此次洪季异常盐水入侵的径流边界条件。
台风作为强烈的外部扰动,通过在河口及其临近海域产生强烈增水而影响河口物质输运和盐水入侵。长三角地区是受到台风影响最严重的区域之一,受不同路径和强度的台风影响,长江口盐水入侵的时空分布会发生变化。2022年8月31日,台风“轩岚诺”率先进入中国东海区域。崇明东滩气象站实测风速、风矢显示,在台风“轩岚诺”作用期间,长江口区域一直受偏北风控制,平均风速为8.1 m/s,9月5日13时风速最大达19.5 m/s(图3(b))。9月8日台风“梅花”进入中国东海区域一路向东北方向移动。在台风“梅花”作用期间,9月8—15日长江口风向以东北风为主(图3(c)),平均风速为6.1 m/s,9月15—16日在梅花和南玛都的共同作用下,出现一天的极强偏南风,风速最大达24.9 m/s。9月14日,台风“南玛都”开始影响中国东海区域。在台风“南玛都”影响期间,9月15—17日长江口为偏南风,9月17—21日为西南风,平均风速为7.6 m/s,9月19日12时风速最大达13.2 m/s。9月22—23日,长江口出现东南风,平均风速为4.6 m/s,9月23—30日,长江口又被偏北风控制,平均风速为4.8 m/s,9月30日—10月4日3时,长江口区域受东南风控制,平均风速为6.1 m/s。此后长江口区域一直受到偏北风控制,平均风速为5.6 m/s,最大风速为12.7 m/s,仅10月21日和10月26日期间出现2次间歇东南风。
通过分析崇明东滩实测风速、风矢资料,台风“轩岚诺”“梅花”“南玛都”影响期间,长江口受偏北风控制,仅在9月7—8日、9月15—16日出现2 d偏南风,9月21日后,受到连续冷空气、台风“纳沙”、热带低压等天气系统影响,10月份长江口大部分时段受到偏北风控制。以往的研究表明偏北风在东海沿岸产生较强的沿岸流和增水,长江口水体受到向陆的艾克曼输送影响[12-15],高盐水向北港输运,加剧了长江口正面盐水入侵。
长江口外为规则半日潮,口内为不规则半日潮,且存在明显的大小潮变化。青草沙水库取水口的盐度,在一日之内出现2次峰值和2次谷值,呈现明显的半日变化。青草沙水库位于北港上段左岸,其盐度变化主要受到正面盐水入侵影响。大潮期间盐水入侵更强,中潮和小潮期间盐水入侵减弱。长江口盐度不仅受到径流和潮汐的控制,还受到风应力的影响,盐度峰值出现的时间异于气候态风况下。9月份开始受到台风影响,青草沙水库取水口的盐度在9月6日前后达到峰值4.8 psu,这是受到台风“轩岚诺”产生的偏北风影响,高盐水通过艾克曼输运进入北港。受9月18日开始的一轮强北风影响,取水口盐度快速升高,在9月22日达到最大值5.5 psu。10月份开始受到寒潮影响,10月8日盐度再次升高达到5.2 psu左右。10月20日开始,取水口盐度出现陡降,这主要是受到应急补水的压咸作用影响,盐度在0.45 psu上下维持了1 d时间左右,在寒潮的影响下便再一次上升,10月22日达到峰值4.9 psu(图3(d))。
通过上述分析,本文认为持续低流量是此次洪季异常盐水入侵的主要成因,持续的偏北风是此次异常盐水入侵加剧的关键因子。

1.2 模型设置及验证

本文采用河口海岸三维数值模型ECOM-si对此次补水压咸效果进行定量分析,该模型源自于普林斯顿大学开发的普林斯顿海洋模型(Princeton Ocean Model,POM)[16]。模型在水平方向上采用Arakawa C网格配置,垂向上采用 δ坐标,能够更好地刻画地形随水深的变化,综合考虑了径流、潮汐和风应力等动力因子的影响[17]。河口地区岸线曲折,为了贴合岸线,Chen等(2003)[18]发展了非正交曲线网格。为提升计算效率,模型积分过程中对正压梯度力项采用隐式方法求解,对连续方程采用半隐方法求解[19]
大量学者对模型进行了改进,长江口分布大量浅滩,吴辉(2006)[20]引入干湿判别法提升了模型的计算精度。Wu等(2010)[21]自主研发了三阶精度的HSIMT-TVD格式求解物质输运方程中的平流项,该格式具有数值耗散低、无数值频散的优点,大幅提高了模型的计算精度。

1.2.1 模型设置

模型的计算范围和网格如图4所示,模型东边界到124.5°E;西边界设置在大通水文站北边界达33.5°N左右,南边界至28°N左右,覆盖了整个长江口、杭州湾及苏北海域。为提升模拟经度,模型网格对长江口汊道进行了加密,如在深水航道工程和南北支分汊口分辨率高到100 m。
图4 模型计算范围和网格

Fig.4 Computational domain and grids

模型采用2021年实测的长江河口水深,相比于2016年水深,北支继续淤积,导致北支盐水倒灌南支减弱,减轻南支的盐水入侵和对水源地的影响。模型垂向分为10层,时间步长为60 s。采用干湿判别法处理潮滩动边界,临界水深取为0.2 m。
由于水位场和流场调整较快,两者初始场设为0。长江河口口外的初始盐度场由《渤海黄海东海海洋图集:水文》数字化得到[22],长江河口口内的初始盐度场则根据本组多次实测资料插值得到。模型上游开边界设置在大通水文站,以通量(大通水文站实测逐时流量)形式给出。模型开边界给定潮位和余水位,潮位由16个分潮计算而来(M2、S2、N2、K2、K1、O1、P1、Q1、U2、V2、T2、L2、2N2、J1、M1、OO1),分潮调和常数来源于NAOTIDE数据库(http://www.miz.nao.ac.jp/staffs/nao99/index_ En.html)。风应力也是河口咸潮入侵中的一个重要因子,由海表面10 m层的风场按二次律公式计算得到。本文所使用的风场数据下载自欧洲中期天气预报中心ERA5再分析数据库(European Centre for Medium Range Weather Forecasts,ECMWF),数据的时间分辨率为1 h,空间分辨率为0.125°× 0.125°。

1.2.2 模型验证

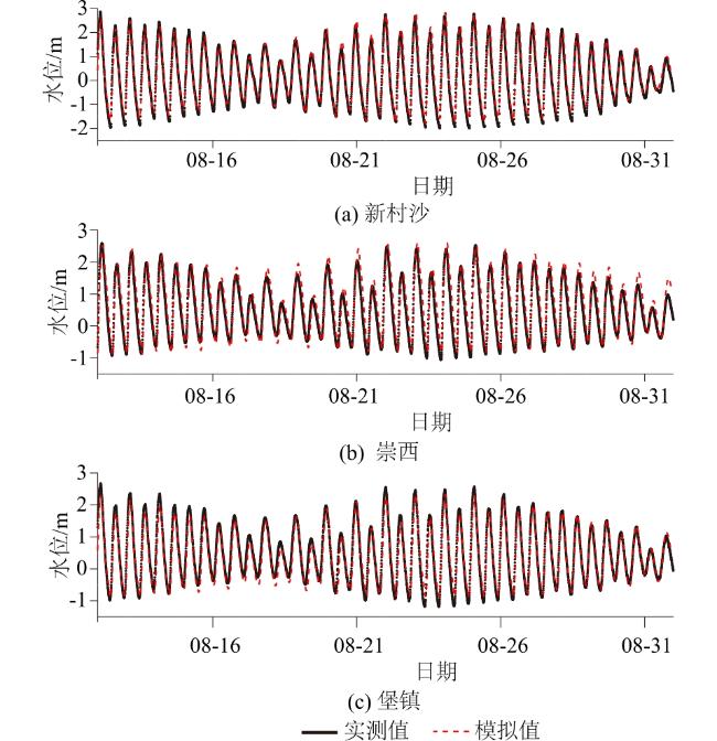
ECOM-si模型已经过较多的验证,本文的验证数据来源于长江口水文站(崇西、新村沙、堡镇水文站)和浮标站(3#、5#浮标站)的观测数据,测站的位置分布见图1
模型从2021年7月1日开始运行,取2021年8月模式输出的水位与新村沙、崇西和堡镇水位站实测水位进行对比(图5),结果显示水位模拟值和实测值吻合良好。
图5 2021年8月不同水位站水位随时间的变化

Fig.5 Temporal variation in water level in August, 2021

模型从2021年12月1日开始运行,取2021年1月模式输出的流速、流向与实测数据进行对比(图6)。
图6 2021年1月流速和流向随时间的变化

Fig.6 Temporal variations in flow velocity and direction in January, 2021

采用2022年10月崇明东滩气象站实测风速、风矢数据对模型的风场数据进行验证(图7(a)图7(b))。
图7 2022年10月崇明东滩气象站实测风速和风矢

Fig.7 Measured wind speed and wind vector at the weather station on Chongming eastern shoal in October, 2022

采用相关系数(Correlation Coefficient,CC)、均方根误差(Root Mean Square Error, RMSE)、技术分数(Skill Score,SS)对模型的计算结果和实测资料进行统计分析,定量评估模型的验证结果。公式如下:
C C = ( X m o d - X - m o d ) ( X o b s - X - o b s ) [ ( X m o d - X - m o d ) 2 ( X o b s - X - o b s ) 2 ] 1 / 2   ;
R M S E = ( X m o d - X o b s ) 2 N   ;
S S = 1 - X m o d - X o b s 2 ( X m o d - X - o b s + X o b s - X - o b s ) 2  
式中:Xmod为模拟值;Xobs为实测值; X -为模拟值或实测值的平均值。
CC表示模拟值和实测值变化趋势的相关性,越接近1表示模拟值和实测值的变化趋势越一致,若模拟值和实测值变化趋势一致但相差恒定值,仍会得到较好的CC评价,为了得到更客观的评价,引入RMSE协助评估。SS用于描述模拟值和实测值之间的偏差程度:当SS≥0.65时,模型模拟为优秀,当0.65≥SS≥0.5时模型模拟好;当SS<0.2时模型模拟较差。水位、流速和风速评价指标分别见表1表2,模型模拟的水位和观测值吻合良好,3个测站的CC值均≥0.97,RMSE均≤0.12 m,SS均≥0.92。2个浮标站的表、底层流速CC值均≥0.76,RMSE均≤0.43 m/s,SS均≥0.76。ECMWF数据库的风速、风矢与崇明东滩实测风速、风矢吻合较好,CC值为0.74,RMSE为0.55 m/s,SS为0.76。水位、流速和风速的SS均≥0.76,表明模型的水动力模拟为优秀,可以进行后续的研究。
表1 水位模拟值和观测值的统计指标

Table 1 Statistical indicators of water level simulation and observation values

水文站 CC RMSE/m SS
新村沙 0.98 0.05 0.93
崇西 0.97 0.10 0.92
堡镇 0.98 0.12 0.94
表2 流速、风速模拟值和观测值的评价指标

Table 2 Statistical indicators of flow velocity and wind speed simulation and observation values

站名 CC RMSE/(m·s-1) SS
3#浮标站 0.76(0.81) 0.43(0.26) 0.76(0.85)
5#浮标站 0.82(0.84) 0.32(0.25) 0.86(0.89)
崇明东滩气象站 0.74 0.55 0.76

注:括号内外的数值分别表示底层和表层的风速评价指标。

1.3 数据分析方法

为了展示水、盐通量的平面输运,揭示盐分输运的动力机制,定义单宽净水通量( T W )和单宽净盐通量( T S )如下:
T W = 1 T 0 T - 1 0 h + ξ V d σ d t   ;
T S = 1 T 0 T - 1 0 h + ξ V S d σ d t  
式中:h为水深; ξ 为水位; V 为流速;T为平均时间,本文取6个潮周期,约3 d; σ为相对水深(表层为0,底层为1);S为盐度。

2 补水压咸效果分析

2.1 试验设计

本文设置2个数值试验,用于定量分析此次调度补水对长江口咸潮入侵的影响效果。数值试验从2022年7月1日开始运行,风场使用ECMWF数据库再分析数据,在模拟过程中已考虑台风的影响,流量使用大通水文站实测日均流量,其中试验1(EXP0)使用补水调度情况下大通水文站10月份流量,试验2(EXP1)使用未补水调度情况下大通10月份流量,其他设置相同。下文将分析水库群调度补水前后长江口盐水入侵的时空变化和青草沙水库取水口的盐度变化。

2.2 结果分析

2.2.1 水、盐通量输运

为了更好地解释水、盐通量输运的动力机制,图8展示了补水调度情况下,小潮潮周期平均后的单宽净水通量和单宽净盐通量的分布。
图8 小潮潮周期(10月18—21日)平均后的单宽净水通量和单宽净盐通量平面分布

Fig.8 Distribution of unit width net water flux, unit width net salt flux during neap tide from 18 to 21,October

单宽净水通量(图8(a))的分布表明,受偏北风驱动,口门外的沿岸流由北向南输送,量值为2 m3/s。受径流的作用,南支、北支、南港、北港和北槽的水体向海输运,南支向海输运的水通量超过3 m3/s。南槽浅滩处的水体向陆输送,量值达1 m3/s,这是由于浅滩和潮汐相互作用产生的向陆斯托克斯输运导致的。北港、北槽水体出口门后,输运方向受科氏力驱动而向右偏转。单宽净盐通量(图8(b))的输运表明,南支、北支的盐通量向海输运,量值为5 kg/(m·s),与水体输运方向一致,这是由于南支为径流主要入海通道,盐度低,北支由于特殊的地形,水体垂向混合较为均匀,盐度分层弱,盐分无法通过底层向陆输运,故盐分输运方向和水体输运方向一致。北港、南槽的盐通量向陆输送,量值达30 kg/(m·s),与水通量输运方向相反,这是受寒潮带来的偏北风影响,向陆艾克曼输运将大量高盐水输送进北港,随后盐分受垂向切变和平流作用向陆输送。

2.2.2 盐度平面分布

长江口咸潮入侵受潮汐影响,半月内盐度出现一次峰值和一次谷值,只有盐度谷值期间与三峡水库补水压咸影响水库取水口时间重合,才能取到最佳压咸效果。在实际调度补水时需抓住小潮期,为水库创造取水窗口,故本文选取小潮落憩时刻来评估调度补水效果。图9展示了调度补水前后的小潮落憩时刻(参考点为青草沙水库取水口)的盐度平面分布。未调度补水情形下,落憩时刻的表层盐度分布(图9(a))表明北支被高盐水占据,这是因为北支为喇叭口形状,潮水进入后,随着岸线束窄潮差增加,进入北支的水量减少。北支中段盐度达27 psu,南、北支分汊口处盐度在1 psu左右,一部分高盐水团从北支倒灌进入南支,增加了南支水源地的盐度;南支上段出现盐度为1 psu的盐水团,中段盐度在0.45 psu左右,下段盐度在1 psu左右,受到北支倒灌和正面盐水入侵的影响,南支盐度整体分布呈现出高低高的格局;由于连续冷空气、台风“纳沙”、热带低压等天气系统影响,使长江口区域10月19日前后受偏北风控制,导致北港正面盐水入侵加剧,高盐水沿着北港北汊进入北港,出现较强的盐度锋面,锋面的盐度在18 psu左右,中段盐度在6 psu左右,北港上段盐度在3 psu左右,青草沙水库取水口处盐度在1.5 psu左右,从北港流出的冲淡水向东北方向扩展;南港盐度在1~3 psu之间,淡水从南港进入北槽并沿着深水航道注入外海,在科氏力的作用下向南扩展;南槽出现向陆的盐度锋面,这是由于潮流和浅滩的相互作用产生的向陆斯托克斯余流导致的。底层盐度平面分布(图9(b))表明,受斜压作用北港底层出现向口内的盐度锋面,3 psu等盐度线上溯至青草沙取水口附近,南、北槽的等盐度线向陆凸出呈现与表层盐度分布相反的态势,这是由于盐水楔的存在使得表、底层的盐度平面分布差异明显。补水调度后,落憩时刻的表层盐度平面分布(图9(c))表明,在压咸作用下,北支上段盐度下降微弱,依然有高盐水从北支倒灌进入南支,0.45 psu和1 psu等盐度线下移至青草沙水库取水口处,北港中段盐度下降至3 psu左右,由于偏北风导致的向陆艾克曼输运较强,北港下段盐度几乎没有变化,南港盐度下降至1 psu左右。补水调度后,落憩时刻的底层盐度平面分布(图9(d))表明,受补水压咸的影响,南支底层盐度下降明显,0.45 psu和1 psu等盐度线下移至青草沙水库取水口上侧。
图9 小潮落憩时刻盐度平面分布

Fig.9 Distribution of salinity at ebb slack during neap tide

图10展示了小潮落憩时刻补水前后盐度差值的平面分布,表层盐度差值平面分布(图10(a))表明在北支中段和拦门沙区域盐度下降明显,降幅均达到4 psu,青草沙水库取水口附近盐度降幅达1 psu。底层盐度差值平面分布(图10(b))表明北支中段盐度下降4 psu左右,拦门沙区域盐度下降2 psu左右,青草沙水库取水口附近盐度下降2 psu左右。这表明通过补水调度长江河口盐水入侵在平面分布上大幅下降,表层盐度下降的范围和幅度较之底层更明显。北支中上段盐度下降达4 psu左右,削弱了北支盐水倒灌。北港拦门沙区域盐度下降3 psu左右,减弱了正面盐水入侵,为青草沙水库争取了宝贵的取水窗口期。
图10 小潮落憩时刻补水前后盐度差值平面分布

Fig.10 Distribution of salinity difference at neap tide ebb between before and after emergent water supply

2.2.3 咸潮上溯距离

图11展示了小潮落憩时刻3条纵剖面的盐度和流速纵向分布。北支中上段特殊的喇叭口地形导致潮差大,且水深较浅,盐度在垂向上混合均匀,未形成异重流,下段受向陆艾克曼输运影响,高盐水进入北支,表底层水体输运方向均向陆。小潮落憩时刻0.45 psu等盐度线位于8 km处(图11(a)),盐度锋面位于40 km左右,锋面盐度达21 psu。在补水压咸的作用下,0.45 psu等盐度线下移到10 km处(图11(b)),向口外移动了2 km;盐度锋面下移至50 km处,向下游移动了10 km。P2纵剖面的盐度分布显示,未补水调度情形下(图11(c)),0.45 psu等盐度线分布在35 km处,受北支倒灌的影响,0.45 psu等盐度线向口外凸出。青草沙水库取水口(红色三角形)所在位置的盐度在2 psu左右。
图11 小潮落憩时刻盐度和流速沿剖面分布

Fig.11 Profile distributions of salinity and flow velocity along sections at ebb slack during neap tide

P2纵剖面中下段是长江口拦门沙所在区域,表底层盐度差异大,底层盐度大于表层盐度,出现盐水楔,形成底层水体向陆运动,流速为0.3 m/s,表层水体向海运动的异重流。补水调度后(图11(d)),0.45 psu等盐度线下移至52 km处,向口外移动了17 km。青草沙水库取水口处的表层盐度在0.45~1 psu之间。P3纵剖面的盐度纵向分布显示(图11(e)),0.45 psu等盐度线位于37 km处,剖面下段底层出现较强盐度锋面,盐度表底层差异大,形成底层水体向陆运动,流速为0.2 m/s,表层水体向海运动的异重流。补水压咸后,0.45 psu等盐度线下移至68 km处(图11(f)),向下游移动了31 km,表层盐度下降比底层大,这是由于淡水主要在表层。盐度的纵剖面分布表明,在补水压咸作用下,咸潮上溯距离均向下游后退。

2.2.4 青草沙水库取水口盐度变化

图12展示了2022年10月青草沙水库取水口盐度序列,补水前10月青草沙水库取水口盐度均>0.45 psu,无法取到淡水,受偏北风的影响(图3(c)),取水口盐度在10月5—10日期间出现短暂上升,10月12—19日期间长江口又被偏北风控制,最大风速达15 m/s,经历2 d短暂的东南风之后,又迎来3 d的北风。青草沙水库取水口盐度从19日开始抬升,在23日达到峰值7.2 psu,连续偏北风的影响,在一定程度上削弱了此次补水效果。实施补水措施后青草沙水库取水口盐度从10月9日开始下降,在小潮落憩前后降到0.45 psu以下,20日前后青草沙水库出现约6 h的取水窗口期,此后盐度开始抬升,25日20时盐度降幅最大,量值接近3 psu。
图12 青草沙水库取水口盐度随时间变化

Fig.12 Temporal variations in salinity at the water intake of Qingcaosha reservoir

3 结论

本文结合实测流量、风速和盐度数据分析了2022年洪季长江口异常盐水入侵的成因。在此基础上采用三维河口海岸三维数值模型定量分析了水库群补水压咸的效果,结论如下:
(1)低入海流量和台风共同作用导致了此次异常盐水入侵,其中流域枯水导致的入海流量持续走低是此次盐水入侵发生的径流条件,台风和寒潮带来的偏北风是正面盐水入侵加剧的动力成因。
(2)通过流域水库群的补水压咸可以削弱长江口的盐水入侵,减小咸潮上溯距离,南支—北港纵断面0.45 psu等盐度线下移了17 km,降低水文站盐度为青草沙水库争取了约6 h的取水窗口,保障上海市淡水资源安全。
(3)10月份的2次寒潮在一定程度上削弱了此次补水效果,为确保补水效果需加强河口地区水文、潮汐及气象综合监测能力。
[1]
茅志昌, 沈焕庭, 姚运达. 长江口南支南岸水域盐水入侵来源分析[J]. 海洋通报, 1993(3): 17-25.

(MAO Zhi-chang, SHEN Huan-ting, YAO Yun-da. Analysis of Sources of Saltwater Intrusion along South Bank of South Branch of Yangtse River Estuary[J]. Marine Science Bulletin, 1993(3): 17-25. (in Chinese))

[2]
肖成猷, 沈焕庭. 长江河口盐水入侵影响因子分析[J]. 华东师范大学学报(自然科学版), 1998(3): 74-80.

(XIAO Cheng-you, SHEN Huan-ting. The Analysis of Factors Affecting the Saltwater Intrusion in Changjiang Estuary[J]. Journal of East China Normal University(Natural Science), 1998(3): 74-80. (in Chinese)))

[3]
沈焕庭, 茅志昌, 朱建荣. 长江河口盐水入侵[M]. 北京: 海洋出版社, 2003: 15-74.

(SHEN Huan-ting, MAO Zhi-chang, ZHU Jian-rong. Saltwater Intrusion in Changjiang Estuary[M]. Beijing: China Ocean Press, 2003: 15-74. (in Chinese))

[4]
朱建荣, 傅利辉, 吴辉. 风应力和科氏力对长江河口没冒沙淡水带的影响[J]. 华东师范大学学报(自然科学版), 2008(6): 1-8, 39.

(ZHU Jian-rong, FU Li-hui, WU Hui. Impact of Wind Stress and Coriolis Force on the Freshwater Zone near Meimaosha in the Changjiang Estuary[J]. Journal of East China Normal University (Natural Science), 2008(6): 1-8, 39. (in Chinese)))

[5]
LI L, ZHU J, WU H. Impacts of Wind Stress on Saltwater Intrusion in the Yangtze Estuary[J]. Science China Earth Sciences, 2012, 55(7): 1178-1192.

[6]
WU H, ZHU J, CHOI B H. Links between Saltwater Intrusion and Subtidal Circulation in the Changjiang Estuary: A Model-guided Study[J]. Continental Shelf Research, 2010, 30(17): 1891-1905.

[7]
LI L, ZHU J, WU H, et al. Lateral Saltwater Intrusion in the North Channel of the Changjiang Estuary[J]. Estuaries and Coasts, 2014, 37(1): 36-55.

[8]
项印玉, 朱建荣, 吴辉. 冬季陆架环流对长江河口盐水入侵的影响[J]. 自然科学进展, 2009, 19(2): 192-202.

(XIANG Yin-yu, ZHU Jian-rong, WU Hui. The Impact of the Shelf Circulations on the Saltwater Intrusion in the Changjiang Estuary in Winter[J]. Progress in Natural Sciences, 2009, 19(2): 192-202. (in Chinese))

[9]
VAN DER SCHEER B. Determining the Effects of a Hydropower Dam and Climate Change on Salt Intrusion in the Gambia Estuary up to 2100[D]. Delft, Netherlands: Delft University of Technology, 2021.

[10]
朱建荣, 吴辉, 李路, 等. 极端干旱水文年(2006)中长江河口的盐水入侵[J]. 华东师范大学学报(自然科学版), 2010(4):1-6,25.

(ZHU Jian-rong, WU Hui, LI Lu, et al. Saltwater Intrusion in the Changjiang Estuary in the Extremely Drought Hydrological Year 2006[J]. Journal of East China Normal University (Natural Science), 2010(4):1-6, 25. (in Chinese)))

[11]
唐建华, 赵升伟, 刘玮祎, 等. 三峡水库对长江河口北支咸潮倒灌影响探讨[J]. 水科学进展, 2011, 22(4): 554-560.

(TANG Jian-hua, ZHAO Sheng-wei, LIU Wei-yi, et al. Influences of Three Gorges Reservoir on Salt Water Intrusion from the North Branch to the South Branch of the Yangtze River Estuary[J]. Advances in Water Science, 2011, 22(4): 554-560. (in Chinese)))

[12]
李林江, 朱建荣. 冬季北风风速对长江河口盐水入侵的影响[J]. 海洋学报, 2021, 43(10):10-22.

(LI Lin-jiang, ZHU Jian-rong. The Effects of North Wind Speed in Winter on Saltwater Intrusion in the Changjiang Estuary[J]. Haiyang Xuebao, 2021, 43(10): 10-22. (in Chinese)))

[13]
李林江. 持续强北风作用下长江河口盐水入侵研究[D]. 上海: 华东师范大学, 2020.

(LI Lin-jiang. Study on Salt Water Intrusion in the Yangtze River Estuary under the Action of Persistent Strong North Wind[D]. Shanghai: East China Normal University, 2020. (in Chinese))

[14]
ZHU J, CHENG X, LI L, et al. Dynamic Mechanism of an Extremely Severe Saltwater Intrusion in the Changjiang Estuary in February 2014[J]. Hydrology and Earth System Sciences, 2020, 24(10): 5043-5056.

[15]
仇威, 朱建荣. 持续强北风天气下长江口盐水入侵对径流量的响应[J]. 华东师范大学学报(自然科学版), 2023(3):132-146.

(QIU Wei,ZHU Jian-rong. Responses of Saltwater Intrusion in the Changjiang Estuary to Various River Discharge under a Persistent and Strong Northerly Wind[J]. Journal of East China Normal University (Natural Science), 2023(3): 132-146. (in Chinese)))

[16]
BLUMBERG A F, MELLOR G L. A Description of a Three-dimensional Coastal Ocean Circulation Model[M]//Coastal and Estuarine Sciences. WashingtonD. C.: American Geophysical Union, 1987: 1-16.

[17]
ARAKAWA A, LAMB V R. Computational Design of the Basic Dynamical Processes of the UCLA General Circulation Model[M]//Methods in Computational Physics:Advances in Research and Applications. Amsterdam: Elsevier, 1977: 173-265.

[18]
CHEN C, LIU H, BEARDSLEY R C. An Unstructured Grid, Finite-Volume, Three-Dimensional, Primitive Equations Ocean Model: Application to Coastal Ocean and Estuaries[J]. Journal of Atmospheric and Oceanic Technology, 2003, 20(1): 159.

[19]
CASULLI V, CATTANI E. Stability, Accuracy and Efficiency of a Semi-implicit Method for Three-dimensional Shallow Water Flow[J]. Computers & Mathematics with Applications, 1994, 27(4): 99-112.

[20]
吴辉. 长江河口盐水入侵研究[D]. 上海: 华东师范大学, 2006.

(WU Hui. Study on Salt Water Intrusion in the Yangtze River Estuary[D]. Shanghai: East China Normal University, 2006. (in Chinese))

[21]
WU H, ZHU J. Advection Scheme with 3rd High-order Spatial Interpolation at the Middle Temporal Level and Its Application to Saltwater Intrusion in the Changjiang Estuary[J]. Ocean Modelling, 2010, 33(1/2): 33-51.

[22]
海洋图集编委会. 渤海黄海东海海洋图集:水文[M]. 北京: 海洋出版社, 1992:13-168.

(Ocean Atlas Commission. Bohai Sea, Ocean Atlas in Huanghai Sea and East China Sea Hydrology[M]. Beijing: China Ocean Press, 1992:13-168. (in Chinese))

Outlines

/