
0 引言
1 试验研究
1.1 测试材料与SWCC曲线
表1 粉细砂的基本物理特性Table 1 Basic physical properties of silty fine sand |
| 相对 密度 | 最小干密度/ (g·cm-3) | 最大干密度/ (g·cm-3) | 平均粒径 (d50/mm) | 最小孔 隙比emin | 最大孔 隙比emax |
|---|---|---|---|---|---|
| 2.69 | 1.26 | 1.56 | 0.198 | 0.724 | 1.135 |
Fig.1 粉细砂的颗粒级配曲线 |
1.2 测试仪器
1.3 试样制备和试验方案
表2 基质吸力与饱和度之间的对应关系Table 2 Correspondence between matric suction and saturation |
| 饱和度/% | 100 | 92 | 65 | 50 | 40 | 30 | 20 | 17 | 0 |
|---|---|---|---|---|---|---|---|---|---|
| 基质吸力/kPa | 0 | 4 | 6 | 8 | 10 | 15 | 40 | 200 | 0 |
2 测试结果与分析
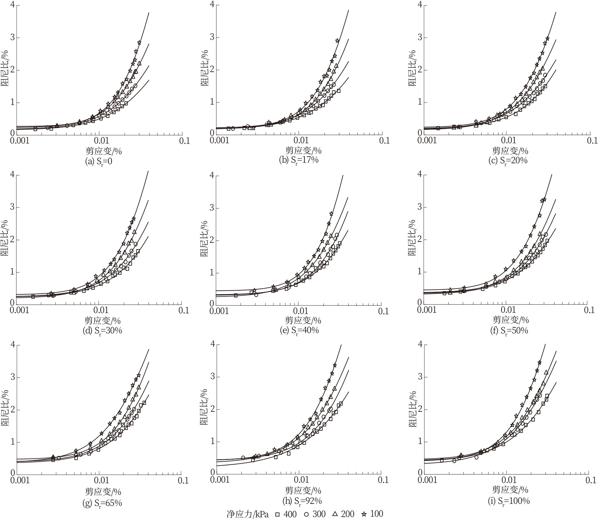
2.1 松散粉细砂阻尼比随应变的变化规律
2.2 净应力对阻尼比的影响
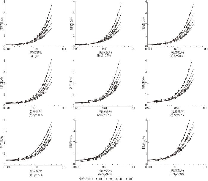
2.3 饱和度对阻尼比的影响
Fig.7 饱和度对松散粉细砂阻尼比的影响 |
图8 不同净应力状态下阻尼比随饱和度的变化规律Fig.8 Variation patterns of damping ratio with saturation under different net stress states |
