0 引言
1 工程概况
1.1 新、旧隧道布置
1.2 地质条件
1.3 锚索障碍物
2 施工控制措施
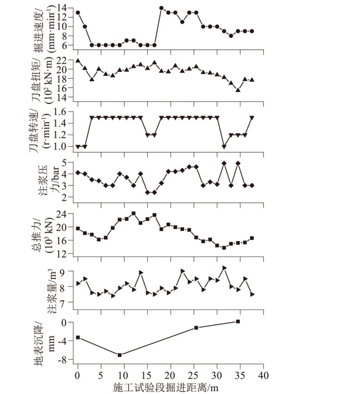
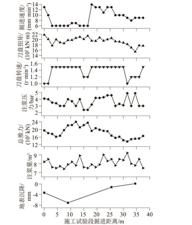
2.1 上跨施工掘进参数选择
2.2 锚索处理
表1 遇到的锚索位置Table 1 Positions of encountered anchor cables |
| 锚索编号 | 图纸锚索桩号 | 实际桩号 |
|---|---|---|
| 1# | ZDK20+142.22 | ZDK20+142.62 |
| 2# | ZDK20+143.84 | ZDK20+144.13 |
| 3# | ZDK20+145.46 | ZDK20+145.75 |
| 4# | ZDK20+147.08 | ZDK20+147.20 |
| 5# | ZDK20+148.70 | ZDK20+149.12 |
| 6# | ZDK20+149.54 | ZDK20+149.51 |
| 7# | ZDK20+150.32 | ZDK20+150.56 |
| 8# | ZDK20+151.16 | ZDK20+151.38 |
| 9# | ZDK20+152.78 | ZDK20+152.65 |
| 10# | ZDK20+154.40 | ZDK20+154.53 |
| 11# | ZDK20+156.02 | ZDK20+156.18 |
| 12# | ZDK20+157.64 | ZDK20+157.88 |
表2 5#、6#锚索处理情况Table 2 Treatment of 5# and 6# anchor cables |
| 开仓原因 | 开仓 方式 | 开仓时间 | 开仓位置 | 进仓作 业人数 | 开仓作业 内容 |
|---|---|---|---|---|---|
| 5#锚索,里程ZDK20+148.7;6#锚索,里程ZDK20+149.54。刀盘到达锚索区,出现掘进参数异常,扭矩波动大,掘进速度慢 | 常压 | 2021年 12月20日 10:35至 2021年 12月20日 12:01 | 左线1307 环行程 1 857 mm, 对应刀盘 里程 ZDK20+ 150.112 | 3人 | ①更换单刃滚刀1把;②用砂轮切割机切断2根掌子面锚索(5#、6#) |
2.3 地基固结灌浆
2.4 数值模拟
表3 土层物理力学参数Table 3 Physical and mechanical parameters of soil strata |
| 土层名称 | 重度 / (kN·m-3) | 黏聚力 c/ kPa | 内摩擦 角 | 弹性模 量E/ GPa | 泊松 比 |
|---|---|---|---|---|---|
| ①素填土 | 18.20 | 10 | 15 | 0.015 | 0.35 |
| ②硬塑砂质黏性土 | 18.64 | 16 | 26 | 0.022 | 0.33 |
| ③全风化花岗岩 | 19.10 | 30 | 28 | 0.200 | 0.29 |
| ④中风化花岗岩 | 25.40 | 400 | 35 | 20.000 | 0.25 |
| ⑤微风化花岗岩 | 25.97 | 1 200 | 40 | 30.000 | 0.22 |
表4 结构材料参数Table 4 Physical and mechanical parameters of structures |
| 材料名称 | 弹性模量 E/GPa | 重度 / (kN·m-3) | 泊松比 | 厚度或 直径/mm |
|---|---|---|---|---|
| 盾壳 | 212.0 | 76.93 | 0.16 | 40 |
| 管片 | 29.3 | 24.40 | 0.25 | 350 |
| 既有隧道内立柱 | 34.5 | 25.00 | 0.22 | 600 |
2.5 位移监测
图7 既有隧道自动化监测断面布置Fig.7 Plane layout of automatic monitoring section of existing tunnel settlements |
图8 既有隧道自动化激光测点布置示意图Fig.8 Layout of automatic laser measuring points in existing tunnels |
