
0 引言
1 材料和方法
1.1 研究区概况
1.2 数据采集和化学分析
1.2.1 野外调查与取样
1.2.2 营养成分指标与测定方法
1.2.3 空间信息和土壤水文数据
1.3 牧草质量评价和空间分析
1.3.1 相对饲喂价值
1.3.2 控制变量和空间格局分析
2 结果
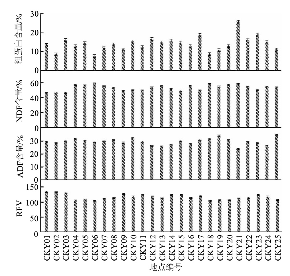
2.1 牧草营养品质指标的统计特征
2.2 不同土壤类型下牧草品质指标的特征
2.3 牧草营养品质的地理环境空间协同变化
2.3.1 牧草营养品质指标和经纬度的关系
2.3.2 牧草营养品质指标和高程的关系
表1 不同土壤类型下牧草粗蛋白、中(酸)性洗涤纤维与空间信息变量之间的皮尔逊相关系数Table 1 Pearson’s correlation coefficients between crude protein, neutral (acid) detergent fiber and spatial infor-mation variables of herbage under different soil types |
| 土壤 类型 | 营养品质 | 经度 | 纬度 | 高程 | |||
|---|---|---|---|---|---|---|---|
| 皮尔 逊系 数 | 显著 性(双 尾) | 皮尔 逊系 数 | 显著 性(双 尾) | 皮尔 逊系 数 | 显著 性(双 尾) | ||
| 雏形 土 | 粗蛋白 | 0.314 | 0.347 | -0.178 | 0.601 | 0.780** | 0.005 |
| 中性洗涤纤维 | -0.022 | 0.949 | 0.100 | 0.769 | -0.117 | 0.731 | |
| 酸性洗涤纤维 | -0.532 | 0.092 | 0.441 | 0.175 | -0.656* | 0.029 | |
| 高活 性淋 溶土 | 粗蛋白 | 0.454 | 0.220 | -0.398 | 0.289 | 0.178 | 0.648 |
| 中性洗涤纤维 | -0.284 | 0.459 | 0.105 | 0.787 | -0.619 | 0.075 | |
| 酸性洗涤纤维 | 0.126 | 0.747 | 0.322 | 0.399 | 0.156 | 0.689 | |
注:**表示在0.01水平(双侧)上显著相关;*表示在0.05水平(双侧)上显著相关。其中黑土、潜育土样点数目过少,不分析其相关性和显著性。 |
