
0 引言
1 资料与方法
1.1 资料收集与处理
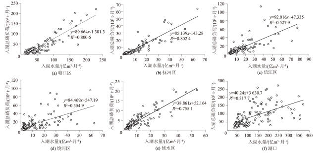
表1 入出湖总磷负荷与入湖水量、总磷浓度的相关关系Table 1 Correlations of inflow and outflow TP loads versus inflow volume and TP concentration |
| 指标 | 总磷负荷与水量、总磷浓度的相关系数 | |||||
|---|---|---|---|---|---|---|
| 赣江区 | 抚河区 | 信江区 | 饶河区 | 修水区 | 湖口 | |
| 水量 | 0.895** | 0.869** | 0.727** | 0.618** | 0.869** | 0.564** |
| 总磷浓度 | 0.628** | 0.255** | 0.487** | 0.232* | 0.255** | 0.469** |
注:**表示在0.01水平上显著相关;*表示在0.05水平上显著相关(下同)。 |
1.2 研究方法
1.2.1 总磷年负荷和年平均浓度计算
1.2.2 水污关系分析
2 结果与分析
2.1 入出湖总磷年平均浓度变化特征
2.1.1 各水资源分区总磷年平均浓度
2.1.2 鄱阳湖入出湖总磷年平均浓度
2.2 入出湖总磷年负荷变化特征
2.2.1 年际变化
2.2.2 年内变化
2.2.3 空间分布
2.3 入出湖总磷负荷与水量、总磷浓度相关关系
表2 入出湖总磷浓度与各水资源区水量的相关关系Table 2 Coefficients of correlation between inflow and outflow TP concentrations and water volumes in different water zones |
| 水资源区 | 各水资源区水量与 总磷浓度的相关系数 | 水资源区 | 各水资源区水量与 总磷浓度的相关系数 |
|---|---|---|---|
| 赣江区 | 0.339** | 饶河区 | 0.235** |
| 抚河区 | 0.233** | 修水区 | -0.155 |
| 信江区 | -0.032 | 湖口 | -0.324** |
