
0 引言
1 试验材料
表1 膨胀土的基本物理性质指标Table 1 Basic physical properties of expansive soil |
| 天然含 水率/% | 最优含 水率/% | 最大干密度/ (g·cm-3) | 液限 ωL/% | 塑限 ωP/% | 塑性指 数IP | 自由膨 胀率/% |
|---|---|---|---|---|---|---|
| 35.67 | 18.3 | 1.61 | 60.1 | 22.4 | 37.7 | 82 |
表2 煅烧试验结果Table 2 Calcination test results |
| 粒径组/ mm | 煅烧前质量 m/g | 煅烧后质 量ms/ g | 碳酸钙质 量mc/ g | 碳酸钙含 量/% |
|---|---|---|---|---|
| (0,0.075) | 3.000 7 | 1.878 0 | 2.381 1 | 79.35 |
| [0.075,0.15] | 2.999 9 | 1.881 3 | 2.371 8 | 79.06 |
| (0.15,0.25] | 3.001 3 | 1.806 3 | 2.545 4 | 84.81 |
| (0.25,0.5] | 3.001 1 | 1.695 9 | 2.795 8 | 93.16 |
| (0.5,1.0] | 3.000 5 | 1.681 2 | 2.827 9 | 94.25 |
| (1.0,2.0] | 3.000 8 | 1.674 1 | 2.844 7 | 94.80 |
表3 物相分析结果Table 3 Phase analysis results |
| 粒径/mm | 矿物相对含量/% | |
|---|---|---|
| 碳酸钙 | 石英 | |
| (0,0.075] | 85.6 | 14.4 |
| (0.15,0.25] | 90.4 | 9.6 |
| (0.5,1.0] | 95.7 | 4.3 |
2 动三轴试验
3 结果与分析
3.1 轴向累积应变发展规律
3.1.1 牡蛎壳粉掺量影响
3.1.2 牡蛎壳粉粒径影响
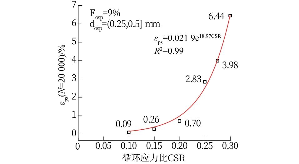
3.1.3 循环应力比影响
3.2 累积孔压发展规律
3.2.1 牡蛎壳粉掺量影响
3.2.2 牡蛎壳粉粒径影响
图14 牡蛎壳粉粒径影响下累积孔压-振次关系Fig.14 Relationship between cumulative pore pressure and vibration frequency under varying particle size of oyster shell powder |
3.3 循环应力比影响
图16 循环应力比影响下累积孔压-振次关系Fig.16 Relationship between cumulative pore pressure and vibration frequency under varying cyclic stress ratio |
