0 引言
1 研究区概况
2 样品采集与分析方法
3 结果与讨论
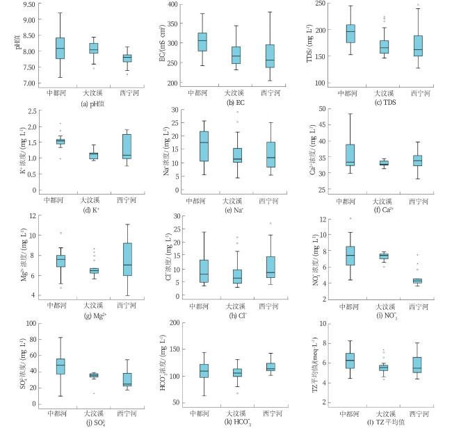
3.1 向家坝水库主要支流河水离子浓度分布特征
表1 向家坝水库主要支流河水离子浓度组成统计结果Table 1 Statistical results of ion concentration composition in main tributaries of Xiangjiaba Reservoir |
| 河流名 | 特征值 | pH值 | EC/ (μS·cm-1) | TDS/ (mg·L-1) | 离子浓度/(mg·L-1) | ||||||||
|---|---|---|---|---|---|---|---|---|---|---|---|---|---|
| K+ | Na+ | Ca2+ | Mg2+ | Cl- | |||||||||
| 最小值 | 7.19 | 239.6 | 154.7 | 1.02 | 5.49 | 30.05 | 4.78 | 3.49 | 4.51 | 10.53 | 62.18 | ||
| 最大值 | 9.21 | 370.8 | 246.1 | 2.12 | 25.64 | 48.41 | 10.25 | 23.63 | 12.11 | 82.74 | 143.54 | ||
| 中都河 | 平均值 | 8.07 | 300.9 | 195.7 | 1.56 | 16.28 | 35.76 | 7.48 | 8.89 | 7.58 | 47.33 | 107.19 | |
| 中位数 | 8.10 | 303.1 | 197.8 | 1.58 | 17.58 | 33.54 | 7.64 | 7.90 | 7.55 | 48.53 | 108.67 | ||
| 标准差 | 0.47 | 34.6 | 23.6 | 0.17 | 6.23 | 4.89 | 0.98 | 4.58 | 1.78 | 14.46 | 19.56 | ||
| 最小值 | 7.47 | 228.8 | 148.3 | 0.96 | 4.36 | 31.49 | 5.70 | 2.94 | 6.13 | 13.79 | 67.00 | ||
| 最大值 | 8.45 | 340.4 | 225.0 | 1.45 | 29.03 | 34.61 | 8.69 | 21.66 | 7.99 | 39.68 | 130.38 | ||
| 大汶溪 | 平均值 | 8.06 | 272.2 | 175.2 | 1.14 | 13.54 | 33.06 | 6.75 | 8.43 | 7.43 | 34.87 | 104.76 | |
| 中位数 | 8.06 | 263.7 | 167.5 | 1.17 | 11.42 | 32.88 | 6.51 | 6.46 | 7.54 | 36.25 | 104.87 | ||
| 标准差 | 0.28 | 35.7 | 25.0 | 0.15 | 6.39 | 0.88 | 0.84 | 5.75 | 0.50 | 5.74 | 14.84 | ||
| 最小值 | 7.29 | 201.7 | 129.6 | 0.79 | 5.41 | 28.34 | 4.03 | 4.10 | 3.74 | 18.14 | 100.76 | ||
| 最大值 | 8.15 | 375.2 | 248.1 | 1.92 | 25.06 | 39.75 | 11.12 | 26.93 | 7.61 | 55.38 | 141.88 | ||
| 西宁河 | 平均值 | 7.78 | 272.1 | 177.0 | 1.30 | 13.42 | 34.26 | 7.47 | 11.38 | 4.78 | 30.48 | 117.08 | |
| 中位数 | 7.82 | 253.6 | 164.1 | 1.13 | 11.93 | 33.98 | 7.08 | 8.53 | 4.40 | 25.34 | 112.79 | ||
| 标准差 | 0.24 | 56.5 | 38.6 | 0.42 | 6.19 | 3.63 | 2.22 | 7.10 | 1.16 | 10.78 | 12.90 | ||
3.2 向家坝水库主要支流河水离子补给来源
表2 向家坝水库3条支流主要离子之间相关关系Table 2 Correlation coefficients between major ions in main tributaries of Xiangjiaba Reservoir |
| 中都河 | pH值 | EC | TDS | K+ | Na+ | Ca2+ | Mg2+ | Cl- | |||
|---|---|---|---|---|---|---|---|---|---|---|---|
| pH值 | 1 | ||||||||||
| EC | -0.292 | 1 | |||||||||
| TDS | -0.295 | 0.999** | 1 | ||||||||
| K+ | -0.009 | 0.292 | 0.306 | 1 | |||||||
| Na+ | -0.142 | 0.740** | 0.730** | 0.341* | 1 | ||||||
| Ca2+ | -0.629** | 0.607** | 0.612** | 0.235 | 0.197 | 1 | |||||
| Mg2+ | 0.009 | 0.784** | 0.786** | 0.283 | 0.672** | 0.237 | 1 | ||||
| Cl- | 0.398* | 0.403* | 0.409* | 0.197 | 0.524** | -0.348** | 0.641** | 1 | |||
| -0.079 | -0.679** | -0.655** | 0.142 | -0.492** | -0.217 | -0.623** | -0.357* | 1 | |||
| -0.359* | 0.648** | 0.633** | 0.292 | 0.696** | 0.537** | 0.566** | -0.04 | -0.500* | 1 | ||
| -0.539* | 0.744** | 0.752** | 0.303 | 0.563** | 0.717** | 0.380* | 0.067 | -0.252 | 0.396* | 1 | |
| 大汶溪 | pH值 | EC | TDS | K+ | Na+ | Ca2+ | Mg2+ | Cl- | |||
| pH值 | 1 | ||||||||||
| EC | 0.614** | 1 | |||||||||
| TDS | 0.711** | 0.949** | 1 | ||||||||
| K+ | 0.751** | 0.822** | 0.883** | 1 | |||||||
| Na+ | 0.604** | 0.677** | 0.771** | 0.839** | 1 | ||||||
| Ca2+ | 0.438 | 0.940** | 0.967** | 0.844** | 0.798** | 1 | |||||
| Mg2+ | 0.688** | 0.940** | 0.967** | 0.844** | 0.798** | 0.537* | 1 | ||||
| Cl- | 0.696** | 0.941** | 0.970** | 0.920** | 0.838** | 0.405 | 0.967** | 1 | |||
| -0.637** | -0.766** | -0.803** | -0.710** | -0.713** | -0.247 | -0.826** | -0.864** | 1 | |||
| 0.190 | 0.397 | 0.422 | 0.433 | 0.570* | 0.377 | 0.412 | 0.391 | -0.172 | 1 | ||
| 0.486* | 0.233 | 0.418 | 0.511* | 0.801** | 0.511* | 0.469* | 0.481* | -0.475* | 0.198 | 1 | |
| 西宁河 | pH值 | EC | TDS | K+ | Na+ | Ca2+ | Mg2+ | Cl- | |||
| pH值 | 1 | ||||||||||
| EC | 0.716** | 1 | |||||||||
| TDS | 0.716** | 1.000** | 1 | ||||||||
| K+ | 0.781** | 0.838** | 0.837** | 1 | |||||||
| Na+ | 0.508 | 0.801** | 0.803** | 0.787** | 1 | ||||||
| Ca2+ | 0.784** | 0.917** | 0.915** | 0.833** | 0.553 | 1 | |||||
| Mg2+ | 0.779** | 0.890** | 0.888** | 0.937** | 0.717** | 0.922** | 1 | ||||
| Cl- | 0.656* | 0.980** | 0.980** | 0.760** | 0.822** | 0.850** | 0.846** | 1 | |||
| 0.518 | 0.359 | 0.361 | 0.677** | 0.356 | 0.427 | 0.428 | 0.190 | 1 | |||
| 0.626* | 0.633* | 0.632* | 0.930** | 0.765** | 0.612* | 0.837** | 0.568* | 0.627* | 1 | ||
| 0.707** | 0.996** | 0.995** | 0.820** | 0.791** | 0.917** | 0.897** | 0.986** | 0.292 | 0.622* | 1 |
注:**表示在0.01水平(双侧)上显著相关,*表示在0.05水平(双侧)上显著相关。 |
表3 向家坝水库3条支流主要离子主成分分析Table 3 Principal component analysis of major ions in main tributaries of Xiangjiaba Reservoir |
| 指标 | 中都河 | 大汶溪 | 西宁河 | |||
|---|---|---|---|---|---|---|
| PC1 | PC2 | PC1 | PC2 | PC1 | PC2 | |
| pH值 | -0.340 | 0.781 | 0.771 | -0.038 | 0.806 | 0.178 |
| EC | 0.974 | 0.030 | 0.895 | -0.323 | 0.963 | -0.232 |
| TDS | 0.971 | 0.025 | 0.962 | -0.155 | 0.963 | -0.231 |
| K+ | 0.366 | -0.005 | 0.921 | -0.092 | 0.949 | 0.290 |
| Na+ | 0.820 | 0.249 | 0.896 | 0.275 | 0.826 | -0.043 |
| Ca2+ | 0.614 | -0.692 | 0.549 | 0.570 | 0.918 | -0.097 |
| Mg2+ | 0.809 | 0.416 | 0.963 | -0.121 | 0.958 | 0.023 |
| Cl- | 0.376 | 0.823 | 0.973 | -0.195 | 0.919 | -0.378 |
| -0.651 | -0.336 | -0.836 | 0.287 | 0.507 | 0.776 | |
| 0.756 | -0.177 | 0.476 | 0.405 | 0.804 | 0.440 | |
| 0.757 | -0.392 | 0.601 | 0.577 | 0.955 | -0.283 | |
| 方差百分 比/% | 50.501 | 20.915 | 67.593 | 10.653 | 77.348 | 11.395 |
| 累计百分 比/% | 50.501 | 71.416 | 67.593 | 78.246 | 77.348 | 88.743 |
注:方差百分比(即方差贡献率)表示各个主成分的方差在总体样本方差中的比重;累计百分比(即累计贡献率)表示所有主成分的方差比重之和。 |
