0 引言
1 材料与方法
1.1 研究区域与采样点
1.1.1 研究区域概况
1.1.2 污水处理厂采样点
表1 4座污水处理厂基本情况Table 1 Basic characteristics of four wastewater treatment plants |
| 污水处理 厂名称 | 处理工艺 | 污水来源 | 设计处理水量/ (万m3·d-1) |
|---|---|---|---|
| W1 | A2O工艺+高效沉淀池+反硝化深床滤池+紫外消毒 | 生活污水 | 16 |
| W2 | A2O工艺+高效沉淀池+反硝化深床滤池+紫外消毒 | 生活污水+ 少量工业 废水 | 4 |
| W3 | A2O工艺+高效沉淀池+反硝化深床滤池+次氯酸钠消毒 | 工业废水和 生活污水 | 4 |
| W4 | A2O微曝氧化沟工艺+高效沉淀池+反硝化深床滤池+臭氧氧化池+紫外消毒 | 生活污水+ 少量工业 废水 | 9 |
1.1.3 人工湿地采样点
1.2 水样中抗生素的测定
1.2.1 样品采集与前处理
1.2.2 抗生素的测定
1.3 生态风险评估
2 结果与分析
2.1 污水处理厂尾水抗生素赋存特征
2.1.1 抗生素的种类
2.1.2 抗生素的浓度
表2 污水处理厂尾水抗生素浓度Table 2 Antibiotic concentrations in effluents from wastewater treatment plantsng/L |
| 月份 | W1 | W2 | W3 | W4 | 平均值 |
|---|---|---|---|---|---|
| 1月 | 977.42 | 567.95 | 2.70 | 5 400.96 | 1 737.26 |
| 4月 | 872.94 | 306.56 | 648.52 | 1 224.16 | 707.37 |
| 8月 | 650.23 | 100.00 | 9.45 | 694.18 | 419.14 |
| 11月 | 329.08 | 61.29 | 1.66 | 609.80 | 250.46 |
| 总平均浓度 | 707.42 | 258.95 | 165.58 | 1 982.28 |
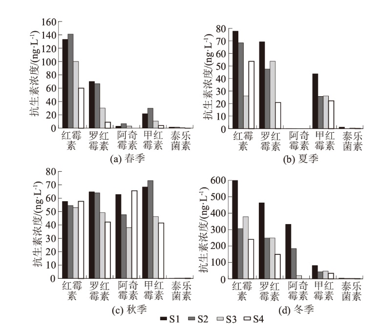
2.2 人工湿地对抗生素去除效能
2.2.1 总体去除效果
2.2.2 不同种类抗生素去除效能
2.2.2.1 MAs的去除效果
2.2.2.2 SAs的去除效果
2.2.2.3 CPs的去除效果
2.2.3 抗生素生态风险评估
表3 目标抗生素毒性数据Table 3 Toxicity data of target antibiotics |
| 抗生素 | 物种类型 | 最敏感物种名称 | 毒性数据终点 | 毒理数据/(mg·L-1) | 评价因子(AF) | PNEC/(ng·L-1) | 参考文献 |
|---|---|---|---|---|---|---|---|
| AZI | 浮游动物 | Daphnia species | LC50(EC50) | 12 | 1 000 | 12 000 | [28] |
| RTM | 鱼类 | Oryzias latipes | LC50(EC50) | 50.3 | 100 | 503 000 | [29] |
| ETM | 蓝藻 | Synechococcus leopoliensis | NOEC | 0.02 | 100 | 200 | [30] |
| CTM | 浮游动物 | Daphnia magna | LC50(EC50) | 25.72 | 1 000 | 25 720 | [31] |
| TYL | 绿藻 | Desmodesmus subspicatus | EC50) | 5 500 | 100 | 55 000 | [32] |
| SMZ | 两栖动物 | Limnodynastes peronii | NOEC | 0.01 | 100 | 100 | [33] |
| SP | 鱼类 | Oryzias latipes | LC50(EC50) | 500 | 1 000 | 500 000 | [34] |
| TMP | 藻类 | Pseudokirchneriella subcapitata | NOEC | 9.57 | 100 | 95 700 | [32] |
| OFX | 费氏弧菌 | Vibrio fischeri | LC50(EC50) | 0.1 | 1 000 | 100 | [35] |
| FF | 藻类 | Pseudokirchneriellasubcapitata | NOEC | 1.2 | 1 000 | 1 200 | [32] |
注:毒理数据是目标抗生素用最敏感物种做毒理性实验的半数致死浓度(LC50)或半数效应浓度(EC50)或最大无影响的量(NOEC)。 |
