0 引言
1 材料与方法
1.1 研究区概况与数据来源
表1 数据基本信息Table 1 Basic data information |
| 数据类别 | 主要指标 | 时间序列 | 数据来源 |
|---|---|---|---|
| 水文 数据 | 逐日水位、流量 | 2014— 2022 | 江西省水文监测中心 |
| 气候 数据 | 年降水量、年均温 | 2014— 2022 | 《江西省统计年鉴》 |
| 社会经 济数据 | 人口密度、人均GDP、用水量、污水排放量、污水处理率 | 2014— 2022 | 《江西省统计年鉴》 |
| 水质 数据 | pH值、SD、Chl.a、TN、TP、CODMn、水质达标率 | 2014— 2022 | 江西鄱阳湖湖泊湿地生态系统国家野外科学观测研究站、《江西省生态环境状况公报》 |
| 水生态 数据 | 浮游动物、植物、森林覆盖率、底栖动物、越冬候鸟数量、江豚数据 | 2014— 2022 | 江西鄱阳湖湖泊湿地生态系统国家野外科学观测研究站 |
1.2 水生态安全评估体系构建方法
表2 鄱阳湖水生态安全评价指标的期望值、阈值、权重Table 2 Expected values, thresholds, and weights of water ecological security evaluation indicators for the Poyang Lake |
| 目标层 | 准则层 | 要素层 | 指标层 | 期望值 | 阈值 | 指标属性 | 单位 | 权重 |
|---|---|---|---|---|---|---|---|---|
| A 鄱阳湖 水生态 安全 | B1 压力 | C1 自然压力 | D1年降水量 | 2 000 | 800 | + | mm | 0.61 |
| D2平均气温 | 20 | 15 | + | ℃ | 0.39 | |||
| C2 社会压力 | D3人口密度 | 200 | 400 | - | 人/km2 | 0.12 | ||
| D4人均GDP水平 | 7 | 1 | + | 万元 | 0.35 | |||
| D5人均用水量 | 500 | 700 | - | m3/人 | 0.17 | |||
| D6城市污水排放量 | 7 | 20 | - | 亿t/年 | 0.36 | |||
| B2 状态 | C3 水文水资源状态 | D7年均水位 | 14 | 5 | + | m | 0.57 | |
| D8年径流量 | 600 | 100 | + | m3/s | 0.23 | |||
| D9年均水位以上占比(星子站) | 60 | 10 | + | % | 0.09 | |||
| D10地表水开发利用率 | 5 | 25 | - | % | 0.11 | |||
| C4 物理结构状态 | D11森林覆盖率 | 80 | 20 | + | % | 0.17 | ||
| D12 SD | 0.6 | 0 | + | m | 0.59 | |||
| D13景观多样性 | 0.8 | 0.2 | + | 0.15 | ||||
| D14斑块密度 | 0.5 | 0.1 | ﹢ | 个/hm2 | 0.09 | |||
| C5 水环境状态 | D15 TN | 0.2 | 2 | - | mg/L | 0.09 | ||
| D16 TP | 0.01 | 0.2 | - | mg/L | 0.26 | |||
| D17 Chl.a | 3 | 20 | - | mg/m3 | 0.19 | |||
| D18富营养状况(TLI) | 30 | 70 | - | 0.34 | ||||
| D19 pH值 | 7 | 9 | - | 0.12 | ||||
| C6 水生态状态 | D20浮游植物多样性 | 1 | 0 | + | 0.29 | |||
| D21浮游动物丰富度 | 1 | 0 | + | 0.11 | ||||
| D22底栖动物密度 | 300 | 50 | + | ind./m2 | 0.13 | |||
| D23江豚数量 | 500 | 200 | + | 头 | 0.35 | |||
| D24越冬候鸟数量 | 70 | 20 | + | 万只 | 0.12 | |||
| B3 响应 | C7 功能响应 | D25供水指标 | 300 | 100 | - | 亿m3 | 0.34 | |
| D26水质达标率 | 100 | 60 | + | % | 0.66 | |||
| C8 社会响应 | D27公众满意程度 | 100 | 60 | + | 0.24 | |||
| D28城市污水处理率 | 100 | 60 | + | % | 0.45 | |||
| D29湿地管理水平 | 100 | 60 | + | 0.31 |
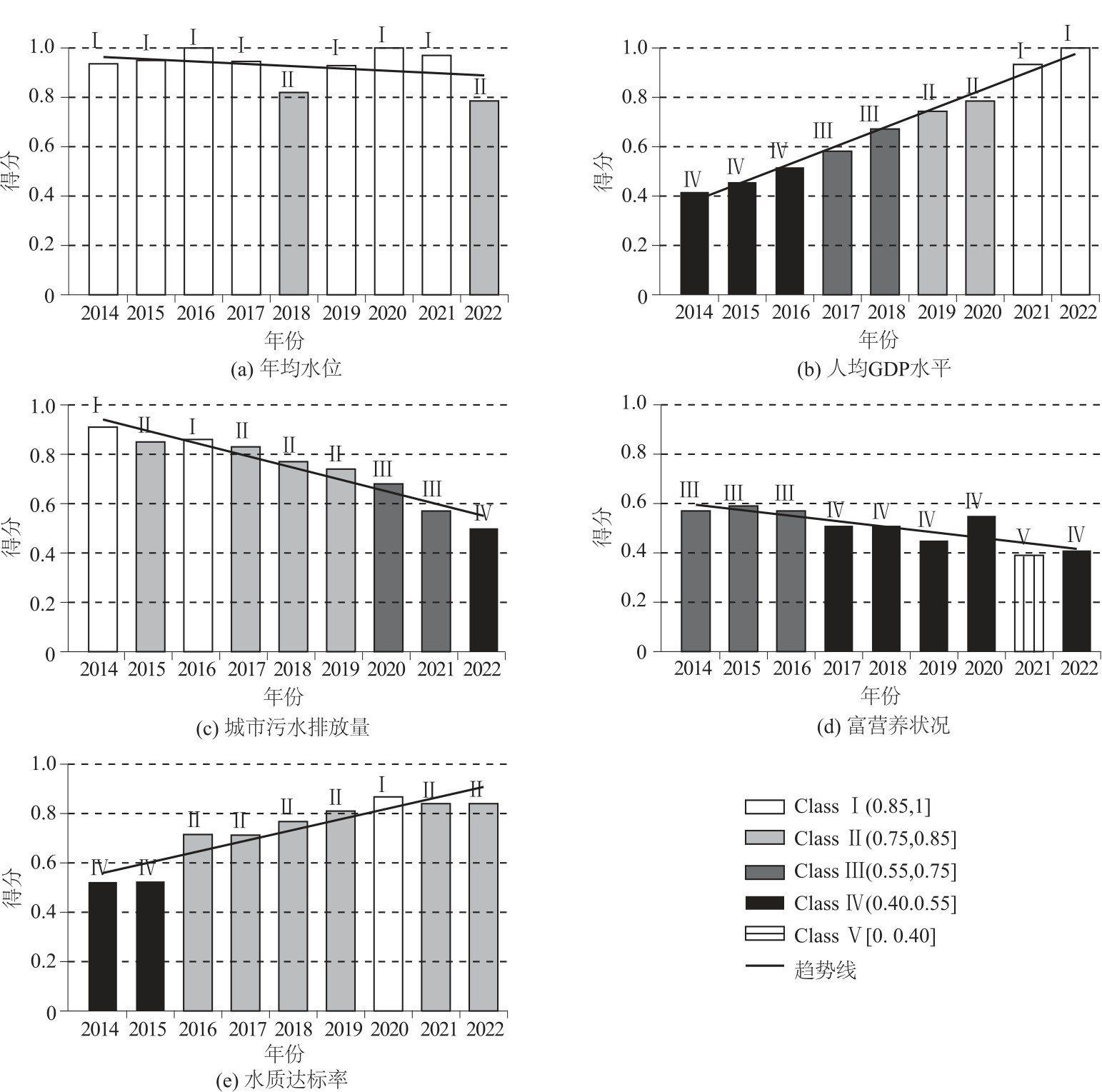
1.2.1 指标归一化
1.2.2 指标权重的确定
1.2.3 综合评价值的计算及评价等级
表3 鄱阳湖水生态安全评价等级划分Table 3 Classification of water ecological security evaluation levels for Poyang Lake |
| 评价等级 | 得分 | 等级表述 | 指示色 |
|---|---|---|---|
| Ⅰ 安全 | (0.85,1] | 非常安全,其组织结构非常合理,生态功能非常完善,外部压力不大,系统非常稳定,处于可持续发展的状态 | ![]() |
| Ⅱ 较安全 | (0.70,0.85] | 相对安全,其组织结构较为合理,具有较好的生态功能,具有应对较强的外部压力能力,不存在生态异常 | ![]() |
| Ⅲ 一般 | (0.55,0.70] | 安全程度相对一般,组织结构完整,生态功能一般,外部压力较大,系统稳定尚可,生态系统可以维持 | ![]() |
| Ⅳ 较不安全 | (0.40,0.55] | 安全状况较差,组织结构存在缺陷,生态功能较弱,外部压力大,湖泊发生了较大的变化,已经开始退化 | ![]() |
| Ⅴ 不安全 | [0,0.40] | 安全状况非常差,组织结构极不合理,生态功能和弹性极弱,外部压力非常大,湖泊生态系统已经严重恶化 | ![]() |





