0 引言
1 控制方程
2 NMM求解非线性热传导
2.1 NMM简介
2.2 弱形式
2.3 Newton-Raphson法
3 数值算例
3.1 方板上的热传导
表1 物理片沿着x1方向的温度Table 1 Temperature distribution along x1 direction with different numbers of physical patches |
| x1/m | 不同数量物理片对应的温度/℃ | 解析解 温度/℃ | |||
|---|---|---|---|---|---|
| 121 | 441 | 961 | 1 681 | ||
| 0.1 | 118.325 5 | 118.388 7 | 118.412 4 | 118.424 8 | 118.451 6 |
| 0.2 | 132.746 6 | 132.776 4 | 132.787 3 | 132.792 9 | 132.806 3 |
| 0.3 | 144.733 1 | 144.746 9 | 144.751 8 | 144.754 4 | 144.761 0 |
| 0.4 | 155.102 1 | 155.107 2 | 155.109 0 | 155.109 9 | 155.112 6 |
| 0.5 | 164.305 3 | 164.305 3 | 164.305 3 | 164.305 3 | 164.305 3 |
| 0.6 | 172.607 6 | 172.611 5 | 172.612 8 | 172.613 4 | 172.615 1 |
| 0.7 | 180.214 1 | 180.220 4 | 180.222 4 | 180.223 4 | 180.225 9 |
| 0.8 | 187.253 1 | 187.260 9 | 187.263 4 | 187.264 6 | 187.267 4 |
| 0.9 | 193.819 0 | 193.827 7 | 193.830 6 | 193.831 9 | 193.834 8 |
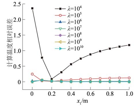
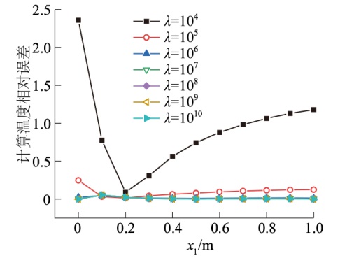
图7 解析解和不同物理片NMM计算的温度相对误差Fig.7 Relative errors of temperature between NMM results and analytic solution with different physical patches |
3.2 含圆孔矩形板的热传导
3.3 二维不规则板的热传导
表2 半圆MN上的温度对比Table 2 Comparison of data along semicircle MN |
| 角度/(°) | 2种数值方法模拟的温度/℃ | 相对误差/% | |
|---|---|---|---|
| FEM | NMM | ||
| 0 | 206.212 | 206.189 | 0.010 8 |
| 15 | 213.797 | 214.249 | 0.211 4 |
| 30 | 234.151 | 233.911 | 0.102 6 |
| 45 | 261.848 | 261.402 | 0.170 1 |
| 60 | 291.467 | 290.781 | 0.235 5 |
| 75 | 319.142 | 318.279 | 0.270 5 |
| 90 | 342.639 | 342.345 | 0.085 8 |
| 105 | 361.005 | 360.606 | 0.110 5 |
| 120 | 374.235 | 373.799 | 0.116 7 |
| 135 | 382.982 | 382.663 | 0.083 4 |
| 150 | 388.234 | 387.971 | 0.067 8 |
| 165 | 390.946 | 390.748 | 0.050 7 |
| 180 | 391.773 | 391.636 | 0.035 1 |
3.4 含两层材料矩形板的热传导
表3 沿着x1方向的温度Table 3 Temperatures along x1 direction |
| x1/m | 2种数值方法模拟的温度/K | 相对误差/10-5 | |
|---|---|---|---|
| NMM | 解析解 | ||
| -0.9 | 741.510 5 | 741.516 8 | 0.850 |
| -0.8 | 732.932 1 | 732.936 8 | 0.643 |
| -0.7 | 724.253 2 | 724.256 5 | 0.457 |
| -0.6 | 715.465 1 | 715.472 4 | 1.011 |
| -0.5 | 706.577 0 | 706.580 5 | 0.497 |
| -0.4 | 697.571 5 | 697.577 0 | 0.790 |
| -0.3 | 688.449 6 | 688.457 4 | 1.137 |
| -0.2 | 679.215 7 | 679.217 1 | 0.214 |
| -0.1 | 669.843 7 | 669.851 3 | 1.144 |
| 0 | 660.354 6 | 660.354 6 | 0.000 |
| 0.2 | 656.482 9 | 656.483 2 | 0.057 |
| 0.4 | 652.588 8 | 652.589 0 | 0.029 |
| 0.6 | 648.671 3 | 648.671 5 | 0.029 |
| 0.8 | 644.730 0 | 644.730 4 | 0.061 |
| 1.0 | 640.764 8 | 640.765 2 | 0.056 |
| 1.2 | 636.775 4 | 636.775 5 | 0.011 |
| 1.4 | 632.760 4 | 632.760 7 | 0.046 |
| 1.6 | 628.720 1 | 628.720 5 | 0.062 |
| 1.8 | 624.654 1 | 624.654 3 | 0.028 |
| 2 | 620.561 4 | 620.561 6 | 0.039 |
3.5 机械构件上的对流换热
表4 界面圆环上的温度计算结果及对比Table 4 Calculated temperature results and comparison along interface ring |
| 角度/ (°) | 左边的界面圆环 | 右边的界面圆环 | ||||
|---|---|---|---|---|---|---|
| 温度/℃ | 相对误 差/% | 温度/℃ | 相对误 差/% | |||
| ANSYS | NMM | ANSYS | NMM | |||
| 0 | 256.32 | 255.19 | 0.442 | 451.69 | 451.87 | 0.040 |
| 22.5 | 248.49 | 247.77 | 0.288 | 450.65 | 450.74 | 0.019 |
| 45.0 | 227.69 | 227.25 | 0.192 | 447.11 | 447.32 | 0.046 |
| 67.5 | 200.23 | 199.99 | 0.117 | 439.59 | 439.72 | 0.030 |
| 90.0 | 173.61 | 173.29 | 0.186 | 424.92 | 424.93 | 0.002 |
| 112.5 | 153.16 | 152.86 | 0.193 | 400.40 | 400.65 | 0.062 |
| 135.0 | 139.73 | 139.491 | 0.175 | 373.54 | 373.84 | 0.080 |
| 157.5 | 132.23 | 131.93 | 0.230 | 354.18 | 354.02 | 0.046 |
| 180.0 | 129.83 | 129.27 | 0.432 | 347.26 | 347.50 | 0.069 |
