
0 引言
1 研究方法
1.1 径流组分识别方法
1.1.1 突变成分
1.1.2 趋势成分
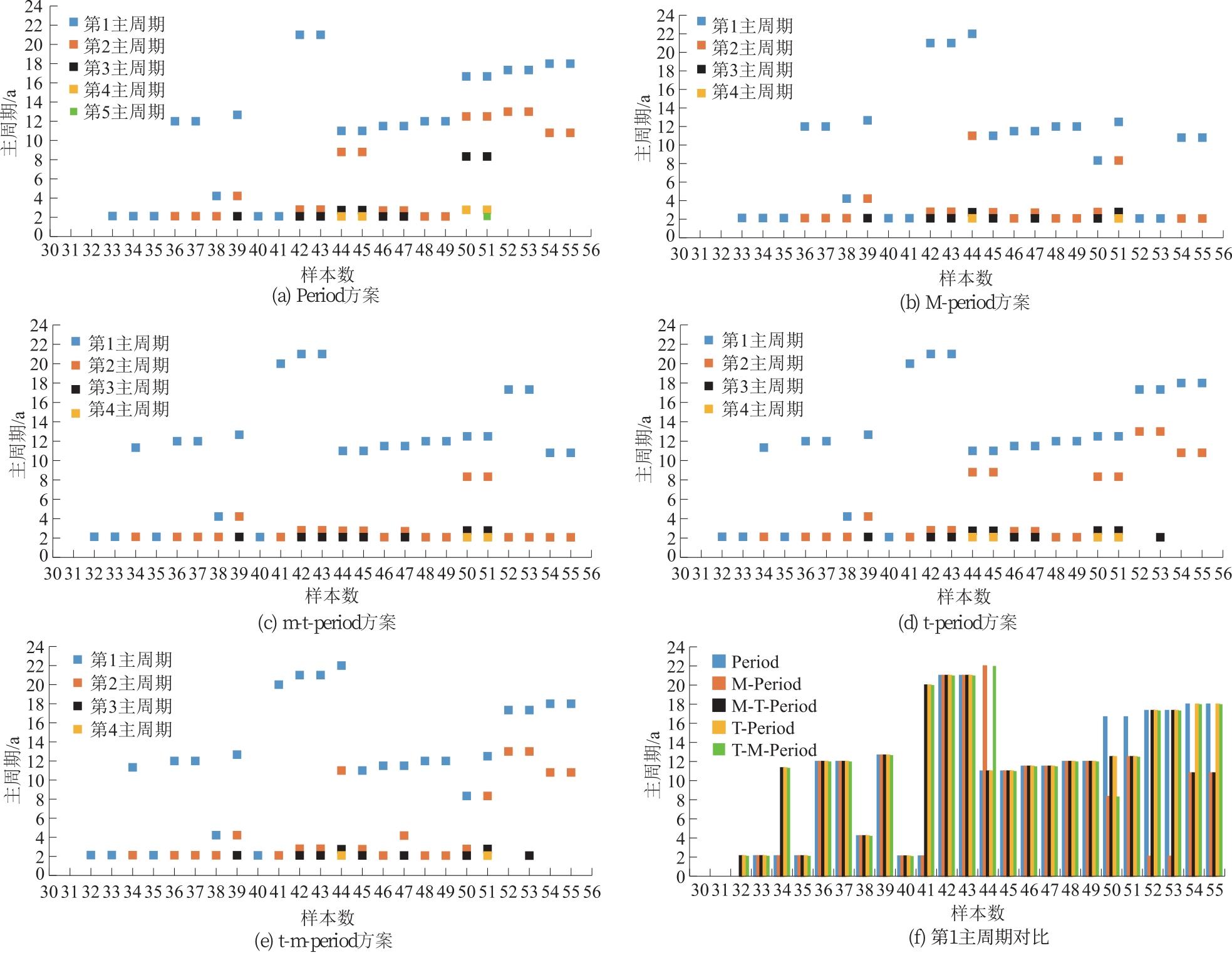
1.1.3 周期成分
1.2 径流组分模型构建
1.2.1 线性叠加模型描述
1.2.2 不同组分模型形式
表1 不同分离顺序和组合方式的径流成分识别方案Table 1 Runoff component identification schemes under different separation orders and combination methods |
| 成分 类别 | 方案名称 | 分离顺序和组合方式 | 输入时间序列 |
|---|---|---|---|
| 突变 成分 | mutation | 基于实测序列识别突变成分 | |
| T-mutation | 实测序列剔除趋势项后识别突变成分 | ||
| 趋势 成分 | trend | 基于实测序列识别趋势成分 | |
| M-trend | 实测序列剔除突变项后识别趋势成分 | ||
| 周期 成分 | period | 基于实测序列的距平序列识别周期成分 | |
| M-period | 实测序列剔除突变项后识别周期成分 | ||
| m-t-period | 实测序列依次剔除突变和趋势项后识别周期成分 | ||
| t-period | 实测序列剔除趋势项后识别周期成分 | ||
| t-m-period | 实测序列依次剔除趋势和突变项后识别周期成分 |
表2 基于不同成分识别方案构建的径流组分模型Table 2 Runoff component models constructed based on different component identification schemes |
| 序号 | 模型名称 | 模型识别的确定性成分 |
|---|---|---|
| 1 | M(mut_tre_period) | 突变+趋势+周期+均值 |
| 2 | M(tre_mut_period) | 趋势+突变+周期+均值 |
| 3 | M(mut_period) | 突变+周期+均值 |
| 4 | M(tre_period) | 趋势+周期+均值 |
| 5 | M(period) | 周期+均值 |
| 6 | M(mut_trend) | 突变+趋势+均值 |
| 7 | M(tre_mutation) | 趋势+突变+均值 |
| 8 | M(mutation) | 突变+均值 |
| 9 | M(trend) | 趋势+均值 |
| 10 | M(mean) | 均值(多年平均值) |
注:模型名称M代表不同的成分类别,mean代表均值成分。为简化标记,mutation、trend简写为mut、tre,序号1~9的模型名称均省略了末尾的均值成分标记mean。 |
1.3 效益风险均衡准则
2 应用实例分析
2.1 实例数据
2.2 不同模型的径流成分分析
2.2.1 突变成分分析
2.2.2 趋势成分分析
2.2.3 周期成分分析
2.3 不同模型的拟合效果分析
表3 不同模型的变化径流序列拟合精度统计指标Table 3 Statistical indicators of fitting accuracy for variable runoff sequences across different models |
| 模型名称 | 均值 | 标准差 | ||
|---|---|---|---|---|
| PC | RMSE/ (m3·s-1) | PC | RMSE/ (m3·s-1) | |
| M(m-t-period) | 0.56 | 557 | 0.16 | 59 |
| M(t-m-period) | 0.54 | 567 | 0.15 | 55 |
| M(M-period) | 0.57 | 569 | 0.13 | 65 |
| M(t-period) | 0.54 | 568 | 0.15 | 56 |
| M(Period) | 0.56 | 575 | 0.12 | 63 |
| M(M-trend) | 0.23 | 658 | 0.18 | 17 |
| M(T-mutation) | 0.18 | 669 | 0.15 | 18 |
| M(mutation) | 0.40 | 661 | 0.08 | 17 |
| M(trend) | 0.11 | 684 | 0.05 | 23 |
| M(mean) | — | 689 | — | 25 |
2.4 不同准则的模型选择分析
表4 基于不同权重系数 的模型效益风险均衡指标对比Table 4 Comparison of benefit-risk balance indicators for models based on different weighting coefficients |
| 精度指标 | 模型名称 | 不同权重系数 的模型效益风险 均衡指标对比 | ||||
|---|---|---|---|---|---|---|
| 0 | 0.2 | 0.5 | 0.8 | 1 | ||
| PC | M(m-t-period) | 0.16 | 0.02 | -0.20 | -0.42 | -0.56 |
| M(t-m-period) | 0.15 | 0.01 | -0.20 | -0.40 | -0.54 | |
| M(M-period) | 0.13 | -0.01 | -0.22 | -0.43 | -0.57 | |
| M(t-period) | 0.15 | 0.01 | -0.20 | -0.40 | -0.54 | |
| M(period) | 0.12 | -0.02 | -0.22 | -0.42 | -0.56 | |
| M(M-trend) | 0.18 | 0.10 | -0.03 | -0.15 | -0.23 | |
| M(T-mutation) | 0.15 | 0.08 | -0.02 | -0.11 | -0.18 | |
| M(mutation) | 0.08 | -0.02 | -0.16 | -0.30 | -0.40 | |
| M(trend) | 0.05 | 0.02 | -0.03 | -0.08 | -0.11 | |
| RMSE | M(m-t-period) | 59 | 159 | 308 | 457 | 557 |
| M(t-m-period) | 55 | 157 | 311 | 465 | 567 | |
| M(M-period) | 65 | 166 | 317 | 468 | 569 | |
| M(t-period) | 56 | 158 | 312 | 466 | 568 | |
| M(period) | 63 | 165 | 319 | 473 | 575 | |
| M(M-trend) | 17 | 145 | 338 | 530 | 658 | |
| M(t-mutation) | 18 | 148 | 344 | 539 | 669 | |
| M(mutation) | 17 | 146 | 339 | 532 | 661 | |
| M(trend) | 23 | 155 | 354 | 552 | 684 | |
| M(mean) | 25 | 158 | 357 | 556 | 689 | |
注:加粗的指标代表当前 下的最优模型。 |
