
0 引言
1 试验设计
1.1 试验材料
表1 聚丙烯纤维物理力学参数Table 1 Physical properties of polypropylene fiber |
| 密度/ (g·cm-3) | 直径/ μm | 相对 密度 | 弹性模量/ MPa | 断裂拉 伸率/% | 极限伸 长量/% | 抗拉强度/ MPa |
|---|---|---|---|---|---|---|
| 0.91 | 32.7 | 2.65 | 4326 | 28.4 | 18 | 469 |
1.2 试验设备
1.3 制样和试验方案
表2 素土及均匀加筋试验方案Table 2 Test scheme of plain soil and uniform reinforcement |
| 法向应力 σ/kPa | 方案1 | 方案2 | 方案3 | 方案4 | ||||
|---|---|---|---|---|---|---|---|---|
| L/mm | FC/% | L/mm | FC/% | L/mm | FC/% | L/mm | FC/% | |
| 50 | 0 | 0 | 6 | 0.5 | 6 | 0.8 | 12 | 0.5 |
| 100 | 0 | 0 | 6 | 0.5 | 6 | 0.8 | 12 | 0.5 |
| 200 | 0 | 0 | 6 | 0.5 | 6 | 0.8 | 12 | 0.5 |
表3 不均匀加筋试验方案Table 3 Test scheme of non-uniform reinforcement |
| 法向应力 σ/kPa | 方案1 | 方案2 | 方案3 | 方案4 | ||||
|---|---|---|---|---|---|---|---|---|
| H0.8%/ mm | H0%/ mm | H0.8%/ mm | H0%/ mm | H0.8%/ mm | H0.5%/ mm | H0.8%/ mm | H0.5%/ mm | |
| 50 | 15 | 85 | 35 | 65 | 15 | 85 | 35 | 65 |
| 100 | 15 | 85 | 35 | 65 | 15 | 85 | 35 | 65 |
| 200 | 15 | 85 | 35 | 65 | 15 | 85 | 35 | 65 |
2 试验结果及讨论
2.1 均匀加筋剪切
2.1.1 纤维长度对抗剪强度的影响
2.1.2 纤维含量对抗剪强度的影响
图9 素土及均匀加筋组抗剪强度-法向应力拟合结果Fig.9 Fitting results between shear strength and normal stress for plain soil and uniformly reinforced soil groups |
表4 均匀加筋试验加筋土和素土抗剪强度指标Table 4 Shear strength indices of uniformly reinforced soils and plain soil |
| 纤维长度/mm | 纤维含量/% | 内摩擦角φ/(°) | 黏聚力c/kPa |
|---|---|---|---|
| 0 | 0 | 31.5 | 39.3 |
| 6 | 0.5 | 31.7 | 60.8 |
| 0.8 | 34.6 | 62.0 | |
| 12 | 0.5 | 35.5 | 61.3 |
2.2 不均匀加筋剪切
2.2.1 分布条件与高度耦合影响
2.2.2 分布条件与含量耦合影响
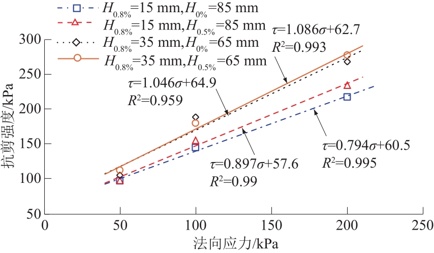
图13 不均匀加筋组抗剪强度-法向应力拟合结果Fig.13 Fitting results between shear strength and normal stress for non-uniformly reinforced soil group |
表5 不均匀加筋试验抗剪强度指标Table 5 Shear strength indices of non-uniformly reinforced soils |
| 中间加筋土 高度/mm | 两侧加筋土 含量/% | 内摩擦角 φ/(°) | 黏聚力 c/kPa |
|---|---|---|---|
| 15 | 0 | 38.4 | 60.5 |
| 0.5 | 41.9 | 57.6 | |
| 35 | 0 | 46.3 | 64.9 |
| 0.5 | 47.3 | 62.7 |
