岩土工程

砂土-钢板界面剪切试验与PFC细观模拟分析

  • 李永辉 , 1 ,
  • 王海 1 ,
  • 牛恒宇 2 ,
  • 蒋晓天 3
展开
  • 1 郑州大学 土木工程学院,郑州 450001
  • 2 河南省轨道交通研究院有限公司,郑州 450000
  • 3 上海城建市政工程(集团)有限公司,上海 200065

李永辉(1983-),男,河南淮滨人,副教授,博士,主要从事土与结构相互作用、基坑工程方面的研究工作。E-mail:

Copy editor: 罗 娟

收稿日期: 2023-09-13

  修回日期: 2023-12-12

  网络出版日期: 2025-02-14

基金资助

河南省自然科学基金面上项目(222300420555)

河南省重点研发专项(231111322100)

Shear Test and PFC Meso-simulation Analysis of Sand-Steel Interface

  • LI Yong-hui , 1 ,
  • WANG Hai 1 ,
  • NIU Heng-yu 2 ,
  • JIANG Xiao-tian 3
Expand
  • 1 College of Civil Engineering, Zhengzhou University, Zhengzhou 450001, China
  • 2 Henan Rail Transit Research Institute Co., Ltd., Zhengzhou 450000, China
  • 3 Shanghai Urban Construction Municipal Engineering (Group) Co., Ltd., Shanghai 200065, China

Received date: 2023-09-13

  Revised date: 2023-12-12

  Online published: 2025-02-14

摘要

针对砂土-钢板接触界面,通过大型界面剪切试验和PFC细观模拟,探究法向应力和界面粗糙度对砂土-钢板接触界面剪切力学特性的影响及内在机理。结果表明:界面粗糙度增大,界面摩擦角随之增大,界面剪切强度、残余强度提高,砂土剪缩、剪胀性显著;法向应力增大,界面剪切强度、残余强度提高,砂土剪缩性提升,剪胀性降低;界面剪切过程中砂土颗粒向剪切方向移动聚集,强接触力链合并,数量减少,传力性能提升;界面粗糙度通过改变钢板槽内砂土颗粒的数量使其与钢板的接触面积发生变化,从而对界面剪切力学特性产生影响;法向应力影响砂土与钢板接触的密实度和作用力,使得其界面剪切力学性状产生变化。

本文引用格式

李永辉 , 王海 , 牛恒宇 , 蒋晓天 . 砂土-钢板界面剪切试验与PFC细观模拟分析[J]. 长江科学院院报, 2025 , 42(2) : 107 -114 . DOI: 10.11988/ckyyb.20230994

Abstract

This study investigates the influence of normal stress and interfacial roughness on the shear mechanical properties of sand-steel plate contact interface and explores the underlying mechanisms through large-scale interface shear tests and PFC mesoscopic simulations. The findings indicate that increased interfacial roughness leads to a higher interfacial friction angle, enhanced interfacial shear strength and residual strength, and more pronounced shear shrinkage and dilatancy of the sand. As normal stress increases, interfacial shear strength and residual strength improve, shear shrinkage of the sand increases, and dilatancy decreases. During the shear process, sand particles move and aggregate in the shear direction, resulting in the merging of strong contact force chains, with a decrease in their numbers but improved force transmission performance. The interfacial roughness affects the contact area between sand particles and the steel plate by altering the number of sand particles in the steel plate grooves, thereby influencing the interface’s shear mechanical properties. Normal stress affects the compactness and contact force between sand and steel plate, leading to changes in the interface’s shear mechanical properties.

开放科学(资源服务)标识码(OSID):

0 引言

砂土-结构接触界面是指存在于基础、地下管道、挡土墙、土工织物等土工物或结构物与砂土接触的界面,其剪切力学特性是影响岩土工程、结构工程安全性和稳定性的一个重要因素。
目前,关于砂土-结构界面剪切力学特性的研究主要集中在砂土与钢板界面、砂土与混凝土界面、砂土与土工膜或土工布界面等。研究方法以开展室内试验为主,目前已有的试验方法有直剪试验[1-5]、拉拔试验[6]、环剪试验[7-10]、三轴试验[11]等;部分学者通过小尺寸直剪装置分析了法向应力、界面粗糙度、砂土粒径等因素对砂-钢界面剪切力学特性的影响[1-3],但考虑到试样的尺寸效应对界面剪切试验精度和试验结果的影响,许多学者开始采用大型直剪试验来研究界面的剪切特性。如Xu等[12]通过室内大型直剪试验分析了法向应力和密实度对砂土-格栅界面剪切特性的影响;杨明辉等[4]采用大型直剪试验探究了基质吸力及界面粗糙度对砂土-结构界面剪切强度和剪胀性状的影响;刘飞禹等[5]通过大型直剪试验探究了橡胶掺量、相对密实度和法向应力对橡胶砂-格栅界面剪切力学特性的影响;部分学者还在试验基础上进行了理论研究,并建立了与砂土-结构界面抗剪强度、体变等特性有关的计算模型[3,12-13]。已有的试验和理论研究表明:砂土的种类(如标准砂[3]、钙质砂[1-2]、细海砂[14]、橡胶砂[5]、石英砂[1-2,10]、尾矿砂[6]等)、粒径[1-2,8,15]、颗粒形状[15]、密实度[9,14]、饱和度[6,16]、接触界面粗糙度[1-4,7-9,14-17]、基质吸力[4]、法向应力[1,4,6,9-10,14,16]、温度[13]、剪切方式[9-10]等因素都会对砂土-结构界面的剪切力学特性产生不同程度的影响,其中,接触界面粗糙度和法向应力是影响砂土-结构界面剪切力学特性的两个显著因素。
土壤本质上是不连续的,因此离散元法作为一种数值模拟工具,在土与结构界面细观研究中的应用相当广泛。学者们通过改变模型颗粒大小和形状、接触方式、密实度、界面粗糙度、法向应力、剪切速率、剪切方式等因素,监测土与结构界面剪切过程中土体内部应力、位移、孔隙率、配位数、接触力链、组构、剪切带厚度、颗粒能量(如动能、阻尼耗能等)等[5,18-22]参数的变化来分析土与结构界面剪切过程中的受力和变形特性。如刘飞禹等[19]通过PFC2D分析了土石混合物-格栅界面剪切过程中含石量对土石混合物内部孔隙率场和接触力链的影响;Wang等[20]对恒定法向刚度条件下的土-结构界面剪切试验进行离散元模拟,通过分析剪切过程中力链、颗粒位移场及剪切带厚度的变化探究了颗粒破碎对界面剪切行为的影响;Gu等[18]通过PFC2D模拟了砂土与结构界面直剪试验,分析了剪切过程中法向应力和砂土密实度对界面剪切过程中颗粒位移场和孔隙率分布的影响;Feng等[21]通过离散元模拟了砂土-土工布不同界面剪切方式(单面直剪、双面直剪、循环直剪)下剪切带内的力链、配位数、组构等参数的变化,揭示了砂土-土工布界面剪切的细观机理;Wang等[22]通过PFC2D探究了土工格栅与砂土界面剪切过程中孔隙率、位移、力链等因素的变化,明确了砂土-格栅界面剪切的荷载传递行为。
总的来说,现有的土-结构接触界面的室内试验和细观模拟分析集中在研究一个或几个因素对接触界面产生的影响,但由于土与结构界面剪切宏观力学表现与细观剪切机理的联系较为复杂,缺乏宏观试验现象与细观模拟过程的有机联系与结合,导致有关土-结构界面剪切过程、剪切机理的宏细观结合研究较少。
基于此,本文以砂土-钢板接触界面为对象,利用大型直剪试验研究法向应力和界面粗糙度对砂土-钢板界面剪切宏观力学特性的影响,并在试验基础上,开展砂土与结构界面细观模拟,通过宏细观的联系与结合探究其剪切作用机理,以期为实际工程中砂土与结构界面剪切作用问题提供参考。

1 界面剪切试验

1.1 试验材料及设备

试验土样为选自河南省信阳市的河沙,去除杂质后按照一定质量比例配置试验用砂,试验用砂的物理特性参数如表1所示,颗粒级配曲线如图1所示,根据《建筑地基基础设计规范》(GB 50007—2011)对砂土的分类标准可知,本试验砂土为粗砂。
表1 试验用砂基本物理特性参数

Table 1 Basic physical parameters of test sand

颗粒相
对密度
Gs
平均粒
D50/
mm
不均匀
系数Cu
曲率系
Cc
最大干密度
ρd max/
(g·cm-3)
最小干密度
ρd min/
(g·cm-3)
2.65 1.00 4.03 0.93 1.74 1.46
图1 试验用砂颗粒级配曲线

Fig.1 Particle gradation curve of test sand

试验钢板采用Yoshimi等[23]提出的量化界面粗糙度概念,用压纹高度Rmax表达界面粗糙度。制作不同界面粗糙度的钢板,如图2所示,其尺寸为650 mm×500 mm×20 mm(长×宽×厚)。
图2 试验钢板及压纹

Fig.2 Test steel plate and embossing

试验仪器采用自行研发的大型直剪试验装置,如图3所示。该装置由加载反力架、顶部加载板、上下剪切盒、电动伺服加载系统和计算机控制系统组成;电动伺服加载系统中每个加载装置可提供的最大载荷为150 kN,最大移动距离为300 mm,位移分辨率为0.001 mm;上下剪切盒内部尺寸分别为500 mm×500 mm×150 mm、650 mm×500 mm×150 mm,上剪切盒用于盛放土样,下剪切盒用于放置结构物。该装置的加载、剪切和试验数据采集过程均由计算机精确控制,其详细特征见文献[24]和文献[25]。在原有设备基础上增设了外伸导轨及结构板升降调平装置,以便试验准备与过程操作。
图3 大型直剪试验装置

Fig.3 Large direct shear test device

1.2 试验方案

考虑接触界面粗糙度和法向应力两个因素对砂土-钢板接触界面剪切特性的影响,设置Rmax分别为0、0.2、0.5、1.0、2.0 mm,法向正应力σn分别为100、200、300 kPa,界面剪切试验共计15组。

1.3 试验过程

砂土-钢板界面剪切试验示意图如图4所示。将下剪切盒沿外伸导轨推出并放置钢板,调节结构板升降调平装置,确保钢板压纹与剪切面处于同一水平高度,钢板与下剪切盒之间的缝隙用石英砂填充密实;桁车吊起上剪切盒置于下剪切盒上,使用砂雨法[26]向上剪切盒中装填试验砂土,控制砂土试样的相对密度为0.55,各组试验所用砂土质量及装填过程完全相同,以确保各组试验中砂土试样的相对密度一致;装填完成后放置加载板并用水准尺判断加载板水平后将剪切盒整体推入加载框架当中,将上剪切盒与左侧立柱连接,下剪切盒与右侧水平加载装置连接。试样安装完毕后,施加设定的法向应力,竖向变形稳定后,采用应变控制法进行界面剪切试验,剪切速率为0.4 mm/min,通过与伺服加载系统相连的计算机控制系统记录试验过程中的剪切应力和法向位移随剪切位移的变化曲线;当剪切位移达到50 mm或剪切应力基本稳定时,停止剪切,试验结束。
图4 砂土-钢板界面剪切试验示意图

Fig.4 Shear test diagram

1.4 试验结果及分析

1.4.1 剪切应力-剪切位移关系

界面剪切应力-剪切位移关系如图5所示,由图5可知,相同法向应力时,粗糙界面下的剪切应力随剪切位移的增大而增大,达到峰值后先减小后逐渐稳定,整个剪切过程可分为弹塑性阶段、塑性软化阶段和残余摩擦阶段;光滑界面下的剪切应力随剪切位移的增大而增大,之后逐渐稳定,表现出较为理想的弹塑性破坏模式,这是因为光滑界面的剪切机制由土与界面之间的滑移控制,而非由粗糙界面下的咬合控制[4]
图5 剪切应力-剪切位移关系曲线

Fig.5 Curves of shear stress vs. shear displacement

同一法向应力下,剪切应力峰值随界面粗糙度的增大而增大,其中,光滑界面的剪切应力峰值显著低于粗糙界面,这是因为光滑钢板表面平整,无棱角,与砂土颗粒之间的摩擦阻力小,界面抗剪强度低。
同一界面粗糙度下,法向应力增大,剪切应力-剪切位移曲线形状并未发生变化,但剪切应力峰值、残余强度显著增大。

1.4.2 法向位移-剪切位移关系

砂土-钢板接触界面剪切过程的法向位移-剪切位移关系曲线如图6所示,其中剪胀为正,剪缩为负。光滑界面下法向位移随剪切位移的增大而减小,达到峰值剪切应力后趋于稳定,表现为剪缩特性;粗糙界面法向位移随剪切位移的增加先显著减小后显著增大,最后缓慢增大,表现为试样先剪缩后剪胀,最后继续剪胀,但剪胀不再显著。
图6 法向位移-剪切位移关系曲线

Fig.6 Curves of normal displacement vs. shear displacement

同一法向应力下,法向位移的最小值和最大值随着界面粗糙度的增大而增大,这说明界面粗糙度越大,砂土试样的剪缩、剪胀特性越明显。
同一界面粗糙度下,法向应力增大,砂土试样剪缩特性提升,剪胀特性降低。究其原因,法向应力越大,土体被挤密,剪缩特性提升;同时,颗粒发生移动、翻滚的阻力提高,难以使孔隙体积增大或产生新的孔隙,剪胀特性降低。

1.4.3 界面剪切强度

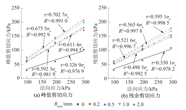
以法向应力为横坐标,峰值剪切应力、残余剪切应力为纵坐标,依据摩尔-库伦强度准则进行拟合,其中残余剪切应力取剪切位移达到40 mm时所对应的稳定应力,拟合曲线如图7所示,决定系数R2均在0.97以上,拟合效果良好。
图7 剪切强度拟合

Fig.7 Fitting of shear strength

抗剪强度参数与界面粗糙度关系曲线如图8所示,由图8可知,峰值剪切应力、残余剪切应力所对应的界面摩擦角均随界面粗糙度的增大而增大;对于光滑表面,界面粗糙度从无到有,界面摩擦角增长明显;对于粗糙表面,增加界面粗糙度,界面摩擦角增幅较小,随界面粗糙度增大,界面摩擦角的增长趋于平缓,这表明在一定范围内,提高界面粗糙度可以增大界面摩擦角。
图8 界面摩擦角-界面粗糙度关系曲线

Fig.8 Curves of interfacial friction angle vs. interfacial roughness

2 细观模拟与分析

为进一步明确砂土-钢板接触接界面的剪切过程及界面粗糙度和法向应力对界面剪切的细观作用机理,在室内试验基础上开展界面剪切细观模拟。

2.1 颗粒形状及粒径

采用显微像机拍摄砂土颗粒的细观照片,利用AutoCAD的三维建模功能逐个绘制出典型的砂土颗粒形状,从中选取长宽比介于1.2~1.8的5种特征颗粒作为颗粒形状模板,如图9所示,利用PFC6.0的封闭多边形刚体模块建模功能实现特征颗粒形状生成。
图9 颗粒形状模板

Fig.9 Particle shape template

目前常用的处理模型颗粒的手段有2种,一种是在不改变宏观试验颗粒级配的基础上改变细观试验尺寸,另一种是在与宏观试验尺寸保持一致的基础上增大细观颗粒粒径[5,22]。前者需进行数学换算后对应试验,难免出现误差,所以本文选择后者处理模型颗粒数量,将颗粒级配曲线图(图1)中的最大颗粒和最小颗粒删去,选取扩大3倍后的颗粒粒径作为模型颗粒粒径;由于PFC无法按照质量分数生成颗粒试样,故应以体积分数的形式生成,在二维模型中以面积代替体积[18]

2.2 模型建立

颗粒的生成采用砂雨法[26],初始生成高度为两倍模型试验高度,颗粒数量约为42 000个,在重力的作用下缓慢落下,初始密度设定为2 650 kg/m3,初始孔隙率为0.14;颗粒试样生成后,删除用于接放下落颗粒的三面墙体,重新生成墙体用于模拟剪切盒,其尺寸与室内模型试验尺寸一致;随后,编写FISH语言生成异形墙体来模拟不同粗糙度的钢板;之后,把生成的墙体进行一定程度的延长,防止在加载阶段出现颗粒漏出现象。
剪切盒和钢板生成后,删除两边界范围外的颗粒,继续循环平衡直至不平衡力达到1×10-5时停止,完成制样。所制细观模型如图10所示。
图10 细观模型

Fig.10 Microscopic model

2.3 试验模拟与验证

根据宏观试验结果对细观模型的相关参数进行试算、标定,本文细观模型的相关参数如表2所示。通过伺服控制施加相应的法向应力,对剪切速率进行试算,综合考虑伺服法向应力的稳定性和剪切完成时间,以0.05 mm/s作为细观模拟剪切速度开展剪切试验,当剪切位移达到50 mm或剪切应力基本稳定时停止剪切,试验结束。
表2 细观试样相关参数

Table 2 Related parameters of meso-samples

参数 数值
试样尺寸/(mm×mm) 500×150
颗粒总数量/个 41 000~43 000
颗粒密度/(kg∙m-3) 2 650
初始孔隙率 0.14
赫兹剪切模量/Pa 1.5×109
泊松比 0.3
制样摩擦系数 0.2
加载摩擦系数 0.5
目标恢复系数 0.6
墙法向刚度/(N∙m-1) 1.0×108
墙切向刚度/(N∙m-1) 1.0×108
加载rblock-rblock接触有效模量/Pa 6.0×107
加载rblock-facet接触剪切模量/Pa 9.0×107
刚度比 1.0
抗转动系数 0.3
模拟剪切速度/(mm∙s-1) 0.05
图11为室内试验与细观模拟的剪切应力-剪切位移与法向位移-剪切位移曲线对比,整体上细观模拟输出曲线与室内试验曲线变化趋势基本一致,表明所建离散元模型具有足够的有效性与准确性。
图11 试验与模拟特征曲线对比

Fig.11 Comparison between experimental and simulated characteristic curves

2.4 模拟结果分析

采用剪切过程中砂土试样的孔隙率分布和接触力链数量变化来明确砂土-钢板接触界面细观剪切过程中的颗粒位移和受力情况。

2.4.1 孔隙率变化

界面粗糙度为2 mm、法向应力为100 kPa的砂土试样孔隙率变化如图12所示,其中,孔隙率差值是各自孔隙率场相对于图12(a)所示孔隙率场的差值;剪切过程中土体内总孔隙率减小,土体剪缩;总孔隙率增大,土体剪胀。
图12 剪切过程孔隙率场变化

Fig.12 Change of porosity field in shear process

图12可知,剪切位移为0 mm时,试样顶部部分区域孔隙率较大,这是砂雨法成样使得部分颗粒无法与墙体接触造成的;剪切开始时(5 mm),宏观上试样处于弹塑性变形阶段,细观上试样左边界附近孔隙率显著减小,右下方接触界面处小部分区域孔隙率增加,其余部位的孔隙率变化不明显,此时细观上砂土试样内的孔隙率减小量大于孔隙率增加量,试样总孔隙率减小,这说明在弹塑性变形阶段初期,颗粒会在剪切力作用下开始向左侧移动聚集,砂土试样细观上总孔隙率减小,表现出剪缩性,与此时的宏观试验结果一致。
剪切位移为15 mm时,试样处于塑性软化阶段,细观上试样左边界孔隙率减小范围没有明显变化,但其孔隙率最大减小量为-0.024 2,与剪切位移为5 mm的-0.024 6相比略有下降;试样右下方的孔隙率增大区域向接触界面处发展,接触界面处的孔隙率显著增加,其孔隙率最大增加量为0.057 8,与剪切位移为5 mm时的0.030 6相比显著提升,其余部分孔隙率也有一定程度的增加,宏观上此时砂土试样表现为剪胀性,这说明此时试样整体的孔隙率增加量大于孔隙率减小量;还可以看出,此时剪切带逐渐形成且剪切带处孔隙率显著增大,这是因为界面剪切过程中剪切带处颗粒受到的剪应力最大,颗粒的翻滚、移动最显著,孔隙变化明显。
剪切位移为30 mm时,试样处于残余摩擦阶段,此阶段在细观上表现出接触界面处孔隙率增加范围增大,左边界附近孔隙率减小范围缩小,孔隙率最大增加量和最大减小量与15 mm时相比没有太大变化;还可以看出在此残余摩擦阶段剪切带已经形成,位于接触界面处,厚度约为18 mm;此时界面处的颗粒运动逐渐稳定,但剪切带边缘内外颗粒相互作用,发生翻滚、移动,试样继续剪胀,但剪胀并不显著,这与宏观试验结果相吻合。

2.4.2 接触力链变化

力链网络中,以平均接触力为标准可将力链分为强接触力链和弱接触力链[27],强接触力链主要承受荷载,抵抗变形,弱接触力链承受荷载较小,主要起维稳作用。
对剪切过程中强接触力链的数量、占比进行分析,如图13所示。整体上看,剪切过程中强接触力链数量不断减少,剪切位移由0 mm增加到5 mm,强接触力链虽然数量减少,但是占比却稳定在0.39左右,说明此阶段强、弱接触力链近似以强、弱力链数量比成比例减小;随着剪切位移继续增加,强接触力链数量继续减少,这主要由两方面原因造成:一是接触力链断裂,二是接触力链合并。结合宏观上的剪切应力-剪切位移关系知,以上过程剪切应力并没有因为强接触力链的减少而减小,反而呈现出增大趋势,说明此时接触力链合并在强接触力链减少过程中占据主导地位,接触力链合并使得接触力链变粗,传力性能提高,从而导致剪切应力增大。
图13 剪切过程强接触力链变化

Fig.13 Change of strong contact force chain in shearing process

2.5 界面粗糙度影响机理

为探究界面粗糙度对砂土-钢板接触界面剪切性能的影响并取得良好的对比效果,选取法向应力为300 kPa,界面粗糙度为0.5、1、2 mm下的剪切完成(剪切位移为50 mm时)位移场进行分析,如图14所示,图15为试样不同高度处颗粒的平均水平位移变化规律。
图14 不同界面粗糙度下剪切完成位移场

Fig.14 Complete shear displacement field with varied interfacial roughness

图15 试样不同高度处颗粒的平均水平位移变化

Fig.15 Average horizontal displacements of particles at different heights of the sample

图14图15可知,随界面粗糙度增加,接触界面处颗粒位移增加,剪切带厚度增加,且同一高度处颗粒发生水平位移的范围也显著增加。这是因为界面粗糙度越大,钢板刻槽越宽大,槽内颗粒数量就越多,使得颗粒与钢板的接触面积随之增大,剪切时更多的颗粒被调动参与到剪切力的传递工作中,在接触界面及试样内部引起范围更广的颗粒转动与平动,这与钢板粗糙度对饱和砂-钢界面的影响机理一致[8]
结合室内宏观试验结果分析,随着界面粗糙度增加,剪切带厚度增加,参与到剪应力传递工作中的颗粒增多,这使得接触界面的抗剪能力得到提升,宏观上表现为剪切应力峰值增大,与宏观试验结果吻合;同时,界面粗糙度增大使得同一高度处颗粒发生水平位移的范围也显著增大,试样内部的颗粒移动更加明显,导致试样内部的孔隙变化显著,从而在宏观上表现为界面粗糙度越大,砂土试样的剪缩、剪胀特性越明显。

2.6 法向应力影响机理

图16为界面粗糙度为2 mm,不同法向应力下试样整体与剪切带内孔隙率、配位数随剪切位移的变化曲线。其中,剪切带内孔隙率、配位数变化最为显著,这是因为界面处(剪切带处)砂土颗粒受到的剪应力最大,颗粒翻滚、运动最显著,从而在细观上表现为接触界面处孔隙率和配位数变化明显。
图16 试样整体与剪切带处细观参数变化曲线

Fig.16 Variation curves of mesoscopic parameters of the whole specimen and the shear zone

图16可得,随着法向应力增加,细观上试样整体及剪切带处孔隙率减小,配位数增加。究其原因,法向应力增大使砂土试样孔隙被挤压缩小,试样内部、接触界面处孔隙率减小,颗粒与颗粒、颗粒与钢板的接触增加,相互作用显著增强,界面处砂土颗粒受到钢板及周围颗粒的约束、嵌锁作用增强,使得界面抵抗剪应力的能力提升,从而在宏观剪切试验中表现出界面峰值应力、残余应力增大,抗剪强度提高;此外,法向应力增大,细观上砂土试样孔隙率的减小和配位数的增加意味着砂土试样体积减小,密实度增加,这在一定程度上促进了砂土试样的剪缩性,抑制了剪胀性,与宏观试验中砂土试样随法向应力增大表现出剪缩性提升、剪胀性降低的现象相吻合。

3 结论

本文通过室内大型界面剪切试验和细观模拟探究了法向应力和界面粗糙度对砂土-钢板接触界面剪切力学特性的影响及其内在机理。主要结论如下:
(1)砂土-钢板界面光滑时,界面剪切应力随剪切位移变化基本呈现为理想弹塑性,砂土均表现出剪缩特性;随界面粗糙度增大,界面摩擦角增大,界面峰值强度、残余强度增大,砂土剪缩、剪胀性提升。法向应力增大,界面峰值强度、残余强度提高,砂土剪缩性提升,剪胀性降低。
(2)界面剪切过程中砂土颗粒在剪应力作用下向剪切方向移动聚集,接触界面处孔隙率变化显著且逐渐形成剪切带,强接触力链逐渐合并,数量减少,传力性能提升。
(3)界面粗糙度的变化改变了钢板槽内砂土颗粒的数量,使砂土与钢板的接触面积发生变化,进而对砂土-钢板界面处的相互作用力及砂土颗粒的位移产生影响,使得界面剪切性状产生变化。
(4)法向应力通过压密砂土,使砂土内部、砂-钢接触界面孔隙率降低,颗粒接触数量增多,约束增强,进而影响砂土-钢板接触界面的剪切力学特性。
[1]
吕海波, 蒋代苹, 柴源. 胶结钙质砂与钢界面剪切力学特性的试验研究[J]. 实验力学, 2022, 37(4): 497-506.

Hai-bo, JIANG Dai-ping, CHAI Yuan. Experimental Study on Shear Mechanical Characteristics of Cemented Calcareous Sand and Steel Surfaces[J]. Journal of Experimental Mechanics, 2022, 37(4): 497-506. (in Chinese))

[2]
KOU H L, DIAO W Z, ZHANG W C, et al. Experimental Study of Interface Shearing between Calcareous Sand and Steel Plate Considering Surface Roughness and Particle Size[J]. Applied Ocean Research, 2021, 107: 102490.

[3]
郭聚坤, 雷胜友, 王瑞, 等. 结构物-标准砂界面剪切机理试验研究[J]. 地下空间与工程学报, 2020, 16(3): 722-733.

GUO Ju-kun, LEI Sheng-you, WANG Rui, et al. Study on Interface Shear Mechanism between Structures and Standard Sand[J]. Chinese Journal of Underground Space and Engineering, 2020, 16(3): 722-733. (in Chinese))

[4]
杨明辉, 王文筱, 邓波. 非饱和砂土-混凝土界面剪切强度试验研究[J]. 铁道科学与工程学报, 2022, 19(2): 409-418.

YANG Ming-hui, WANG Wen-xiao, DENG Bo. Experimental Study on the Shear Strength of Unsaturated Sandy Soil-concrete Interfaces[J]. Journal of Railway Science and Engineering, 2022, 19(2): 409-418. (in Chinese))

[5]
刘飞禹, 符军, 王军, 等. 橡胶掺量对格栅-橡胶砂界面宏细观剪切特性影响[J]. 岩土工程学报, 2022, 44(6): 1006-1015.

LIU Fei-yu, FU Jun, WANG Jun, et al. Effects of Rubber Content on Macro-and Meso-scopic Shear Characteristics of Geogrid-rubber Sand Interface[J]. Chinese Journal of Geotechnical Engineering, 2022, 44(6): 1006-1015. (in Chinese))

[6]
张利阳, 易富, 李俊元, 等. 土工织物加筋尾矿砂界面力学特性试验研究[J]. 长江科学院院报, 2020, 37(5):145-150,156.

DOI

ZHANG Li-yang, YI Fu, LI Jun-yuan, et al. Experimental Study on Interfacial Mechanical Properties of Geotextile-reinforced Tailings Sand[J]. Journal of Yangtze River Scientific Research Institute, 2020, 37(5):145- 150, 156. (in Chinese))

DOI

[7]
VAFAEI N, FAKHARIAN K, SADREKARIMI A. Sand-sand and Sand-steel Interface Grain-scale Behavior under Shearing[J]. Transportation Geotechnics, 2021, 30: 100636.

[8]
李逸凡, 李大勇, 张雨坤. 颗粒级配和表面纹理对饱和砂-钢界面剪切强度的影响[J]. 岩土工程学报, 2024, 46(2):335-344.

LI Yi-fan, LI Da-yong, ZHANG Yu-kun. Effects of Grain Size Distribution and Surface Texture on Shear Behaviors at Saturated Sand-steel Interface[J]. Chinese Journal of Geotechnical Engineering, 2024, 46(2):335-344. (in Chinese))

[9]
ZHANG P, DING S, FEI K. Research on Shear Behavior of Sand-Structure Interface Based on Monotonic and Cyclic Tests[J]. Applied Sciences, 2021, 11(24):11837.

[10]
ZHOU W, GUO Z, WANG L, et al. Sand-steel Interface Behaviour under Large-displacement and Cyclic Shear[J]. Soil Dynamics and Earthquake Engineering, 2020, 138:106352.

[11]
LIAO C, LIU S A, XIA X. Triaxial Shear Test for Strength Behavior of Saturated Sand-Steel Interface Based on Preformed Failure Plane[J]. Geotechnical Testing Journal, 2022, 45(5): 1005-1029.

[12]
XU L, WANG R, XU D, et al. Interface Shear Behavior of Geogrid-reinforced Calcareous Sand under Large-scale Monotonic Direct Shear[J]. International Journal of Geosynthetics and Ground Engineering, 2022, 8(5): 66.

[13]
ALDAEEF A A, RAYHANI M T. Pile-soil Interface Characteristics in Ice-poor Frozen Ground under Varying Exposure Temperature[J]. Cold Regions Science and Technology, 2021, 191: 103377.

[14]
KE L J, GAO Y F, LI D Y, et al. An Experimental Study on Monotonic Shear Behavior of the Interface between Fine Sea Sand and Steel[J]. International Journal of Geomechanics, 2023, 23(1): 06022034.

[15]
HAN F, GANJU E, SALGADO R, et al. Effects of Interface Roughness,Particle Geometry,and Gradation on the Sand-Steel Interface Friction Angle[J]. Journal of Geotechnical and Geoenvironmental Engineering, 2018, 144(12):04018096.

[16]
NAMJOO A M, TOUFIGH M M, TOUFIGH V. Experimental Investigation of Interface Behaviour between Different Types of Sand and Carbon Fibre Polymer[J]. European Journal of Environmental and Civil Engineering, 2021, 25(13): 2317-2336.

[17]
SAMANTA M, PUNETHA P, SHARMA M. Effect of Roughness on Interface Shear Behavior of Sand with Steel and Concrete Surface[J]. Geomechanics and Engineering, 2018, 14(4): 387-398.

[18]
GU X, CHEN Y, HUANG M. Critical State Shear Behavior of the Soil-structure Interface Determined by Discrete Element Modeling[J]. Particuology, 2017, 35: 68-77.

[19]
刘飞禹, 孔剑捷, 姚嘉敏. 含石量和压实度对格栅-土石混合体界面剪切特性的影响[J]. 岩土工程学报, 2023, 45(5): 903-911.

LIU Fei-yu, KONG Jian-jie, YAO Jia-min. Effects of Rock Content and Degree of Compaction on Interface Shear Characteristics of Geogrid-soil-rock Mixture[J]. Chinese Journal of Geotechnical Engineering, 2023, 45(5): 903-911. (in Chinese))

[20]
WANG P, YIN Z Y. Effect of Particle Breakage on the Behavior of Soil-structure Interface under Constant Normal Stiffness Condition with DEM[J]. Computers and Geotechnics, 2022, 147: 104766.

[21]
FENG S J, CHEN J N, CHEN H X, et al. Analysis of Sand-Woven Geotextile Interface Shear Behavior Using Discrete Element Method (DEM)[J]. Canadian Geotechnical Journal, 2020, 57(3): 433-447.

[22]
WANG Z, JACOBS F, ZIEGLER M. Visualization of Load Transfer Behaviour between Geogrid and Sand Using PFC2D[J]. Geotextiles and Geomembranes, 2014, 42(2):83-90.

[23]
YOSHIMI Y, KISHIDA T. A Ring Torsion Apparatus for Evaluating Friction between Soil and Metal Surfaces[J]. Geotechnical Testing Journal, 1981, 4(4): 145-152.

[24]
LI Y H, LV M F, GUO Y C, et al. Effects of the Soil Water Content and Relative Roughness on the Shear Strength of Silt and Steel Plate Interface[J]. Measurement, 2021, 174: 109003.

[25]
LI M, LI Y, ISLAM M R. Effects of Water Content and Interface Roughness on the Shear Strength of Silt-Cement Mortar Interface[J]. Soils and Foundations, 2021, 61(6): 1615-1629.

[26]
李浩, 罗强, 张正, 等. 砂雨法制备砂土地基模型控制要素试验研究[J]. 岩土工程学报, 2014, 36(10):1872-1878.

LI Hao, LUO Qiang, ZHANG Zheng, et al. Experimental Study on Control Element of Sand Pourer Preparation of Sand Foundation Model[J]. Chinese Journal of Geotechnical Engineering, 2014, 36(10): 1872-1878. (in Chinese))

[27]
孙其诚, 辛海丽, 刘建国, 等. 颗粒体系中的骨架及力链网络[J]. 岩土力学, 2009, 30(增刊1):83-87.

SUN Qi-cheng, XIN Hai-li, LIU Jian-guo, et al. Skeleton and Force Chain Network in Static Granular Material[J]. Rock and Soil Mechanics, 2009,30 (Supp. 1):83-87. (in Chinese))

文章导航

/